Chapitres
- 01. Définition
- 02. Règles d'opérations
- 03. Exercices corrigés
Définition

En cours de math, une fraction est une division non effectuée entre deux nombres entiers relatifs. Ces deux nombres se retrouvent comme suit :
- Le numérateur : Le nombre entier relatif situé en haut de la fraction
- Le dénominateur : Le nombre entier relatif situé en bas de la fraction
Remarque : Lorsque la division est effectuée, il ne s'agit alors plus d'une fraction mais simplement d'un nombre réel. Par exemple :
est une fraction mais 0.75 est simplement un nombre réel. Ils ont pourtant tous les deux la même valeur. La fraction est utile dans de nombreux cas :
- Elle permet d'exprimer des nombres sous leur valeur exacte alors que cela serait impossible avec un nombre réel
- Elle permet de mieux représenter des valeurs notamment lors de divisions en parts
- Elle permet d'effectuer plus facilement des opérations d'additions, soustraction, multiplication et division via les règles des fractions
Où trouver des cours de maths 3ème ?
Règles d'opérations
Addition et soustraction
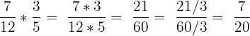
Pour pouvoir additionner des fractions, il faut absolument que le dénominateur des deux fractions soient le même. Il n'est par exemple pas possible d’additionner
et
. Concernant la soustraction cette même règle s'applique. Si le dénominateur est identique, on dit que c'est un dénominateur commun. Pour effectuer l'addition ou la soustraction, il suffira alors de simplement additioner les numérateurs. Par exemple :
et
ont le même dénominateur commun. Il est donc possible de les additionner ou de les soustraire via le numérateur. On obtient donc :
et
Remarques :
- Lorsque un effectue une soustraction de fractions ayant un dénominateur commun, le résultat du numérateur est un nombre entier positif ou négatif
- Lorsque le résultat de la fraction donne un numérateur et un dénominateur identique, la fraction est alors égale à 1. En effet, les quatre quarts d'un gâteau représentent le gâteau en entier
- Il est impossible d'effectuer une fraction par 0. Cette dernière n'existe pas en mathématiques car elle ne représente rien
- Lorsqu'une fraction est égale à 0 au numérateur, quelque soit le chiffre du dénominateur, cette dernière sera forcément égale à 0

Multiplication
Pour la multiplication des fractions, il n'est pas nécessaire de se soucier si le dénominateur est commun aux deux fractions. En effet, lorsque l'on multiplie des fractions, il faut multiplier les numérateurs entre eux et les dénominateurs entre eux. Par exemple, en reprenant le même cas que l'opération précédente, on obtient :
: On a effectué les opérations séparément en multipliant les numérateurs entre eux et les dénominateurs entre eux. Concernant la multiplication entre un nombre entier relatif et une fraction, on multiplie le nombre entier par le numérateur et laisse le dénominateur à l'identique. Par exemple :
Par ailleurs, un nombre entier relatif s'écrit sous la forme d'une fraction avec 1 comme dénominateur : 

Division
La division de deux fractions correspond à la multiplication par l'inverse de la deuxième fraction. L'inverse d'une fraction, consiste à intervertir le numérateur et le dénominateur. Ainsi, pour effectuer une division entre deux fractions, cela se passe en deux temps :
- Transformer la deuxième en son inverse en intervertissant le numérateur et le dénominateur
- Multiplier la première fraction par l'inverse de la deuxième
Reprenons pour exemple, l'opération précédente :
= On a inversé la fraction 3/4 en 4/3 puis on a effectué la multiplication.
Simplification
Une fraction peut dans certains cas être simplifiable. En effet, lorsque le numérateur et le dénominateur ont un diviseur commun, il peut être appliqué pour simplifier la fraction. Par exemple, la fraction
est simplifiable. En effet, le numérateur et le dénominateur sont tous les deux divisibles par 2. On obtiendrait alors :
. En terme de représentation, cela correspond à l'image ci-dessous :

On voit bien sur cette image qu'il manque juste un quart pour que le gâteau soit complet. Or ces deux quarts du gâteau correspondent à la moitié. Ce qui revient au même que la partie droite du gâteau qui est également la moitié. Graphiquement, on voit donc bien que 2/4 = 1/2. A l'inverse, il est possible de multiplier le numérateur et le dénominateur par le même multiple. Cela est très utile pour les opérations d'addition et de soustraction pour pouvoir obtenir un dénominateur commun. Par exemple, si l'on souhaite additionner
et
cela semble dans un premier temps impossible puisque le dénominateur des deux fractions n'est pas le même. Ainsi pour palier ce problème, on peut multiplier notre première fraction par deux au numérateur et au dénominateur. On obtiendra alors
. On a désormais un dénominateur commun aux deux fractions. On obtient par conséquent : 
Où trouver des cours de maths terminale s ?
Tableau récapitulatif
Afin de ne pas s’emmêler les pinceaux concernant les différentes opérations à effectuer, vous trouverez ci-après un tableau récapitulatif permettant de savoir quelle opération effectuer selon le type de calcul.
| Règles\Opérations | Addition | Soustraction | Multiplication | Division |
|---|---|---|---|---|
| Conditions | Le dénominateur doit être commun aux 2 fractions | Le dénominateur doit être commun aux 2 fractions | Pas de conditions | Pas de conditions |
| Calcul | Addition des 2 numérateurs | Soustraction des 2 numérateurs | Multiplication des numérateurs entre eux et des dénominateurs entre eux | Multiplication de la première fraction avec l'inverse de la deuxième |
Exercices corrigés
Exercices
Exercice 1 : Pour chacun des cas suivants, calculez la valeur de a+b-c : A.
B.
C.
D.
Exercice 2 : Simplifier lorsque c'est possible puis calculer les produits : A.
B.
C.
D.
Exercice 3 : Calculer et donner le résultat sous la forme d'une fraction la plus simple possible : A.
B.
C.
D.
Exercice 4 : Effectuer les opérations suivantes : A.
B. 
Corrigé
Exercice 1 : A.
Étant donné qu'il s'agit d'opérations de soustraction et d'addition, il faut qu'il y ait un dénominateur commun à l'ensemble des fractions. Pour cela, nous allons transformer la fraction a :
Nous pouvons à présent effectuer l'ensemble des opérations :
B.
La fraction b n'a pas le même dénominateur que les deux autres fractions. On va donc la transformer :
On peut à présent effectuer l'opération complète :
C.
Ici, aucune des fraction n'a un dénominateur commun. Dans ce cas la, le plus simple est de s'aligner sur le dénominateur le plus gros. On va donc transformer les fractions a et b pour qu'elles aient le même dénominateur que la fraction c.
\frac{1*3}{9*3} =
. On fait de même pour la fraction a :
. On a désormais un dénominateur commun pour les trois fractions.
D.
Comme pour le cas C, il est préférable (et même obligatoire) de transformer les fractions a et c plutôt que la fraction b. En effet, 13 étant un nombre irréductible, il ne sera pas possible d'obtenir 5 en dénominateur de b. On transforme donc les fraction a et c :
. La fraction c étant le même, le résultat sera identique.
Les fractions a et c s'annulent entre elles. Exercice 2 : A.
Les 3 fractions sont ici non irréductibles car elles ont dans chacun d'eux des nombres premiers. On effectue donc directement le produit de ces fractions :
Cette fraction est divisible par 3 au numérateur et au dénominateur, on obtient donc :
B.
Comme pour le cas A, les 3 fractions présentes ici sont irréductibles. On effectue donc directement le produit :
Cette fraction est importante et est divisible par 5. On va donc la simplifier :
Cette fraction étant non divisible elle est simplifiée au maximum. C.
Encore une fois chacune des fractions indépendamment n'est pas simplifiable. On peut donc effectuer le produit. En revanche, nous allons faire plus attention cette fois-ci en effectuant le produit, afin de détecter s'il n'est pas possible de simplifier pendant l’opération de produit :
On a simplifié par 2 en haut et en bas lors de la première opération de multiplication pour simplifier l'opération. D.
Les fractions indépendamment sont irréductibles, on peut donc effectuer le produit :
On a simplifié durant l'opération afin de ne pas avoir une fraction trop grande à postériori qui aurait été difficile à simplifier. Exercice 3 : A.
Comme vu dans la partie multiplication, le produit d'un nombre entier par une fraction se fait en multipliant uniquement le numérateur. De plus comme avec l'ensemble des nombres, la priorités des opérations s'appliquent également dans le cas des fractions. On effectue donc les opérations comme suit :
B.
On fait bien attention à l'ordre des opérations : la multiplication doit s'effectuer avec la soustraction. On effectue donc indépendamment dans un premier lieu la multiplication :
La fraction obtenue n'est pas directement calculable avec la soustraction car les deux fractions n'ont pas de dénominateur commun. On va donc transformer 7/4 pour avoir le même dénominateur :
On peut désormais effectuer l'ensemble des opérations :
C.
Même chose que pour B ici, il faut appliquer la priorité des opérations et donc commencer par la multiplication :
Malgré que l'on ait simplifié la fraction, il est plus simple de conserver la forme non simplifié pour pouvoir transformer l'autre fraction :
On effectue finalement l'ensemble du calcul :
Cette dernière fraction résultat n'est en revanche pas réductible. D.
On effectue ici les deux opérations de multiplication indépendamment puis on effectuera l'addition pour respecter la priorité des opérations :
On a simplifié par 6.
On a simplifié pendant le calcul pour ne pas avoir une trop grande fraction comme résultat. Il nous reste maintenant à additionner ces deux résultat en veillant à bien avoir un dénominateur commun :
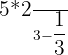
Exercice 4 : A.
Pour la division on applique ce qui a été dit précédemment sur la division. Pour nous aider, on va considérer 7 comme la fraction 7/1. On obtient alors :
On a effectué dans l'ordre suivant :
- 1. Transformer 7 en fraction sous la forme 7/1
- 2. Prendre l'inverse 2/5 pour obtenir une multiplication
- 3. Effectuer la multiplication
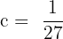
B.
Même concept que pour A, on va effectuer les opérations dans le même ordre que ci-dessus :
Cette deuxième division nous montre que la division d'un nombre entier relatif par 1/2 revient à effectuer la multiplication de ce nombre entier relatif par 2.



















Si vous désirez une aide personnalisée, contactez dès maintenant l’un de nos professeurs !
👍👍👍👍👍👍
J’aime bien merci
Article très intéressant du point de vue contenus