Chapitres
Rappels sur la priorité des opérations
En mathématiques, la distributivité permet de connaitre quelles sont les priorités lors d’opérations basiques, à savoir l’addition, la soustraction et la multiplication. Par définition, on note respectivement les opérations précédentes par la somme, la différence et le produit.
- Par convention, on note une multiplication par un nombre négatif avec une parenthèse.
- Pour les opérations d’addition et de soustraction, l’ensemble des opérations sont interchangeables (on dit qu’elles sont commutatives)
- On note la soustraction comme une addition d’un élément négatif : x – z = x + (-z)
- Pour les multiplications, il est également possible d’inter changer les opérations. Par exemple 2*3 = 3*2
- On note les opérations à effectuer en priorité via des parenthèses. Ces dernières sont prioritaires par rapport à toutes les autres opérations.
- Concernant l’ensemble de ces opérations, le produit à la priorité par rapport à la somme et à la différence.

Cas général
Soit x,y,z défini sur N.
Par convention on note l’opération de multiplication par un nombre négatif comme suit :
x * (-y) au lieu de x*-y
Pour les opérations d’addition et soustraction, la première propriété nous dit que :
En cours de maths en ligne, pour les opérations de multiplication, la deuxième propriété nous dit :
Pour les opérations avec des parenthèses, la priorité des opérations amène au résultat suivant :
Pour x * (y +z), on effectue d’abord la somme de y par z puis le produit de ce résultat obtenu.
Tandis que sans les parenthèses pour la même opération, on aurait obtenu : x*y+z. On effectue d’abord le produit de x par y puis on somme z au résultat.
Exercice
Pour chacune des opérations, effectuez les calculs suivants
- 4 + 5 – 6
- 4+5*6
- 4+ (5*6)
- (4+5)*6
- (4+5*6)
Corrigé
- 4 + 5 – 6 = 9 – 6 = 3. On peut effectuer nos opérations dans l’ordre
- 4+5*6 = 4 + 30 = 34 On effectue d’abord la multiplication puis l’addition
- 4 + (5*6) = 4 + 30 = 34 On donne la priorité à l’opération effectuée à l’intérieur de la parenthèse
- (4+5)*6 = 9*6 = 54. On donne la priorité à l’opération effectuée à l’intérieur de la parenthèse
- (4+5*6) = 4+5*6 = 34. La parenthèse n’a pas d’intérêt ici puisqu’elle englobe toutes les opérations.
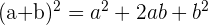
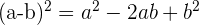
Les identités remarquables
Les identités remarquables sont un ensemble de trois formules permettant de développer et de factoriser plus simplement les équations. Ces identités remarquables sont les suivantes :
Remarque : On peut se rendre compte de l'identité remarquable numéro 2 via un carré de coté a+b. On obtiendra ainsi 2 carrés en a² et b² et 2 carrés en ab.

Démonstration
Il est possible de démontrer les identités remarques relativement facilement grâce aux méthodes de développement (vu dans le chapitre suivant) :
La distributivité
Le développement
L’ensemble des éléments appris sur la priorité des opérations permet d’appliquer quelques règles de distributivités. On peut ainsi mettre en place les règles du développement des opérations
Soient les variables x,y,z,t définies sur N :
- x*(y+z) = x*y + x*z
- (x+y)(z+t) = x*z + x*t + y*z + y*t
- (x+y) * z = z*(x+y) = z*x + z*y
A l’inverse, lorsque les éléments sont développés, on peut les factoriser. La factorisation et le développement sont très utilisés pour la résolution des équations

Exercice
- Résoudre les équations suivantes en développant les opérations :
- 2. En utilisant les identités remarquables, développer les opérations suivantes :
Corrigé
- 1.

- 2.

- 3.

- 4.

Exercice 2 :
On utilise l’identité remarquable numéro 3 :
On utilise l’identité remarquable numéro 2 :
On utilise l’identité remarquable numéro 1 :
La factorisation
La factorisation consiste à reconstruire une opération ayant été développée. Il s’agit donc de l’opération inverse au développement. On utilise principalement deux méthodes :
- Les identités remarquables
- La « factorisation par distributivité »
Pour factoriser par les identités remarquables, le but du jeu est de repérer si l’opération est sous le format d’une identité remarquable ou si on peut la transformer pour en obtenir une. Par exemple avec l’opération 25 – 9x^{2}, on peut remarquer que l’opération est sous le format a^{2} – b^{2}. Il nous reste alors simplement à factoriser l’identité remarquable numéro 1.
Concernant la factorisation par la distributivité, on peut l’utiliser lorsque l’on a une expression sous le format : a*b + a*c. On peut alors factoriser par a et obtenir le format : a(b+c).
Ces exemples étant difficile à intégrer via le cas général, nous allons réaliser une série d’exercices pour mieux appréhender la factorisation.

Exercice corrigé
Exercice
Factoriser les opérations suivantes :
Corrigé
On utilise le modèle de factorisation par distributivité :
On factorise par x+2
On somme les éléments factorisés
On factorise par 2
On repère ici l’identité remarquable
:
On transforme 25 en un carré et 9x^2 en un carré de 3x
On utilise le modèle de factorisation par distributivité en faisant néanmoins attention à la soustraction :
On factorise par x-7
On additionne les autres membres en faisant attention à la soustraction
On factorise par 2
On utilise la factorisation par distributivité :
On factorise par x+1
On soustrait les membres restants
On factorise par 7
On observe une identité remarquable :
On transforme 9 en 3^2
Cette opération est plus compliquée et se fait en deux temps : d’abord via une identité remarquable puis via distributivité :
On repère l'identité remarquable
On transforme 4x^2 en un carré
On factorise par 2x+3
On factorise par 2
Ce dernier exercice est bien compliqué que les précédents. Il faut réfléchir à comment repérer un des deux modèles de factorisation :
x^{2} + 4x – 2x – 8 =
x(x+4) – 2x – 8 = On factorise par x
x(x+4) – 2(x+4) = On factorise par 2
(x+4)(x-2) On factorise par x+4
Vous cherchez des cours de maths ?
Pour aller plus loin
La distributivité à travers le développement, la factorisation et les identités remarquables permettent également de résoudre des équations de degré plus élevé. En effet, dans les classes supérieures, vous apprendrez à résoudre des équations de degré 2. Or, il peut arriver qu'il y ait des éléments de degré 3 dans les équations.
On pourra alors, via les connaissances apprises, notamment en terme de factorisation, transformer des équations de degré 3 en degré 2 pour pouvoir les résoudre.
Résumer avec l'IA :



































Si vous désirez une aide personnalisée, contactez dès maintenant l’un de nos professeurs !