Chapitres
- 01. Présentation
- 02. Chapitre 1 : Les interactions fondamentales
- 03. Chapitre 2 : Mouvement d'un solide indéformable
- 04. Chapitre 3 : Forces macroscopiques
- 05. Chapitre 4 : Une approche des lois de Newton
- 06. Chapitre 5 : Travail d'une force
- 07. Chapitre 6 : Travail et énergie cinétique
- 08. Chapitre 7 : Travail et énergie potentielle de pesanteur
- 09. Chapitre 8 : Travail et énergie interne : transfert thermique
- 10. Chapitre 9 : Générateurs et récepteurs en courant continu
- 11. Chapitre 10 : Comportement global d'un circuit
- 12. Chapitre 11 : Champ magnétique
- 13. Chapitre 12 : Forces électromagnétiques et couplage électromécanique
- 14. Chapitre 13 : Visibilité d'un objet et le miroir plan
- 15. Chapitre 14 : Images données par une lentille convergente
Présentation
Le programme de Physique chimie que vous étudierez en Première Scientifique se compose de 14 chapitres.
Les voici :
- Chapitre 1 : Les interactions fondamentales ;
- Chapitre 2 : Mouvement d'un solide indéformable ;
- Chapitre 3 : Forces macroscopiques ;
- Chapitre 4 : Une approche des lois de Newton ;
- Chapitre 5 : Travail d'une force ;
- Chapitre 6 : Travail et énergie cinétique ;
- Chapitre 7 : Travail et énergie potentielle de pesanteur ;
- Chapitre 8 : Travail et énergie interne : transfert thermique ;
- Chapitre 9 : Générateurs et récepteurs en courant continu ;
- Chapitre 10 : Comportement global d'un circuit ;
- Chapitre 11 : Champ magnétique ;
- Chapitre 12 : Forces électromagnétiques et couplage électromécanique ;
- Chapitre 13 : Visibilité d'un objet et le miroir plan ;
- Chapitre 14 : Images données par une lentille convergente ;
Chapitre 1 : Les interactions fondamentales
Savoir appliquer la loi du Coulomb
Les lois de Coulomb sont deux lois physiques qui s'appliquent à deux domaines différents.
L'une est applicable à l'électrostatique et l'autre est adaptable à la mécanique.
Loi de Coulomb en électrostatique
La loi de Coulomb est une loi énoncée par le physicien d'origine française Charles-Augustin Coulomb en 1785. Elle est l'expression de la force qui s'exerce entre deux particules chargées électriquement.
Voici son énoncé :
L'intensité de la force électrostatique entre deux charges électriques est proportionnelle au produit des deux charges et est inversement proportionnelle au carré de la distance entre les deux charges. La force est portée par la droite passant par les deux charges
Cette loi a été énoncée sur la base de mesures que Coulomb avait réalisé grâce à sa balance de Coulomb. Cette balance permet de mesurer l'axe de torsion entre deux particules chargées. En fonction de l'angle à l’équilibre, on peut donc en déduire la force exercée sur chacune des deux particules.
Voici l'expression de la force de Coulomb exercée par une charge électrique :
 
 Avec :
- F force exercée par une charge électrique ;
- q1 charge électrique placée au point r1 ;
- q2 charge électrique placée au point r2.
A connaître : la constante universelle diélectrique, également connue sous le nom de permittivité du vide : ε0 = 8,854 x 10-12.
Il ne faut pas oublier non plus que la loi de Coulomb est applicable uniquement dans le cadre des charges fixes et pas en mouvement.
Loi de Coulomb en mécanique
En mécanique cette fois, la loi de Coulomb est une loi qui exprime les intensités des forces exercées entre deux solides.
Cette loi introduit donc les deux notions de frottements suivantes : l'adhérence et le glissement. Derrière adhérence se cache une idée de frottement statique et derrière la notion de glissement se cache une idée de frottement dynamique.
Le glissement ne se produit qu'après dépassement de la composante tangentielle T0.
On calcule la force limite T0 à l'aide de la loi de Coulomb :
 
 Avec :
- f0 coefficient d'adhérence ou de frottement statique dont la valeur dépend des matériaux et des surfaces en frottement.
En quête d'un enseignant physique chimie ?
Chapitre 2 : Mouvement d'un solide indéformable
Savoir déterminer et représenter le vecteur vitesse d'un point mobile
On définit un mouvement selon un référentiel. Ce référentiel peut être la Terre, c'est alors le référentiel terrestre, mais aussi le Soleil avec le référentiel héliocentrique.
On définit la trajectoire par les positions successives qu'occupera le modèle au sein du référentiel pendant son mouvement.
Mesure de vitesse
La mesure d'une vitesse s'effectue en calculant la distance parcourue en un temps donné. On peut donc trouver la formule du calcul de la vitesse moyenne :
 
 Avec :
- vm en mètres par seconde : m.s-1 ;
- l en mètres : m ;
- Δt en secondes : s.
Le vecteur vitesse
Cette vitesse permet aussi de définir un vecteur vitesse v.
Il se calcule ainsi :
 
 Avec :
- Direction : tangente au point M1 à la trajectoire ;
- Sens : mouvement de M1 ;
- Point d'application : M1.
Le mouvement de translation
Un solide est en mouvement de translation lorsque tout segment joignant 2 points quelconques du solide reste parallèle à lui-même au cours du mouvement.
Voici quelques règles à connaître :
- Le mouvement de translation est curviligne lorsque la trajectoire d’un point du solide n’est pas une droite ;
- Le mouvement de translation est rectiligne lorsque la trajectoire de chaque point du solide est une droite ;
- Le mouvement de translation est circulaire lorsque la trajectoire d’un point du solide est un cercle.
Chapitre 3 : Forces macroscopiques
Savoir identifier et représenter des actions qui s'exercent sur un solide
Différentes forces s’exercent sur les solides. Vous devrez savoir les décrire.
Le poids
Le poids d'un objet est représenté par la force qui s'exerce sur celui-ci et l'attirant vers le sol. Sur la Terre, dans le référentiel terrestre, il s'agit de la gravité.
Le poids se calcule avec la formule suivante :
 
 Avec :
- P, poids en Newtons : N ;
- m, masse de l'objet en kilogrammes : kg ;
- g, vecteur de la pesanteur terrestre : 9,81 N / kg.
La réaction du support
Lorsqu'un objet se déplace, la réaction de frottement avec son support doit être prise en compte.
En effet, la surface de contact crée de l'adhérence et des forces de frottement.
Poussée d'Archimède

La poussée d'Archimède est une force découverte par le physicien Archimède. Elle est la force subie par un corps plongé dans un fluide liquide ou gazeux et soumis à un champ de gravité.
Par exemple, c'est la poussée d'Archimède qui fait qu'on flotte dans sa baignoire, mais aussi qu'une montgolfière vole.
On définit donc le vecteur poussée d'Archimède :
 
 Avec :
- PA en Newtons : N ;
- µ masse volumique du fluide en kilogrammes par mètre cube : kg / m3 ;
- V volume en mètres cubes : m3 ;
- g intensité de la pesanteur à la surface de la Terre en Newtons par kilogramme : N / kg et de valeur 9,81.
Chapitre 4 : Une approche des lois de Newton
Savoir appliquer les lois de Newton
Les lois de Newton se comptent au nombre de 3. Elles ont été énoncées par Newton, un physicien britannique ayant vécu entre 1642 et 1727.
Première loi de Newton
Corpus omne perseverare in statu suo quiescendi vel movendi uniformiter in directum, nisi quatenus a viribus impressis cogitur statum illum mutare
Si un corps ne subit pas de force, alors sa vitesse est constante. Soit le corps est au repos et a une vitesse nulle ou soit il se déplace en ligne droite avec une vitesse constante et non nulle.
Deuxième loi de Newton
Mutationem motus proportionalem esse vi motrici impressae, et fieri secundum lineam rectam qua vis illa imprimitur
Le vecteur accélération d'un corps est parallèle et directement proportionnel à la force appliquée sur le corps. Ce vecteur est dans la même direction que la force.
Troisième loi de Newton
Actioni contrariam semper et æqualem esse reactionem: sive corporum duorum actiones in se mutuo semper esse æquales et in partes contrarias dirigi
Lorsqu'un premier corps exerce une force sur un deuxième corps, le deuxième corps exerce simultanément une force opposée sur le premier. Ainsi les deux forces exercées par les corps l'un sur l'autre sont égales et opposées en direction.
Chapitre 5 : Travail d'une force

Savoir exprimer et calculer le travail d'une force constante
On appelle travail d’une force constante F, lors d’un déplacement rectiligne de son point d’application de A vers B, le produit scalaire de la force F par le vecteur déplacement AB :
 
 Avec :
- WAB (F) en joules : J ;
- F en Newtons : N ;
- AB en mètres : m.
Chapitre 6 : Travail et énergie cinétique
Savoir utiliser l'expression de l'énergie cinétique et l'appliquer entre deux instants
Définition
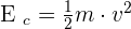
L'énergie cinétique est l'énergie que possède un corps grâce à son mouvement. Exprimée en joules, elle se calcule avec l'expression suivante :
 
 Chapitre 7 : Travail et énergie potentielle de pesanteur
Savoir expliciter la transformation d'énergie potentielle en énergie cinétique
Si toutes les forces extérieures appliquées à un solide, à l'exception du poids, effectuent un travail nul, la somme de l'énergie cinétique et de l'énergie potentielle de pesanteur est constante, conservant ainsi l’énergie mécanique.
Voici l'expression qui lie énergie cinétique à l'énergie potentielle de pesanteur.
Ec(B) - Ec(A) = WAB( P ) = m . g . (zA - zB) = m . g . zA – m . g . zB = Epp(A) – Epp(B) = Ec(A) + Epp(A) = Ec(B) + Epp(B)
Chapitre 8 : Travail et énergie interne : transfert thermique
Savoir que l'énergie reçue par travail peut aussi être « stockée » par un corps
Un transfert thermique a lieu lorsque deux corps de températures différentes entrent en contact. Le transfert s'effectue du corps le plus chaud vers le corps le plus froid. Il a lieu jusqu'à ce que les deux corps soient à la même température.
Soit la relation suivante :
 
 Avec :
- U énergie d'un corps pur ;
- m masse du corps pur ;
- c capacité thermique massique ;
- θi température initiale ;
- θf température finale.
Chapitre 9 : Générateurs et récepteurs en courant continu
Utiliser le principe de la conservation de l'énergie pour faire un bilan d'énergie
Réaliser le bilan énergétique d'une ressource consiste à établir le rapport entre la quantité d'énergie dépensée pour extraire la ressource et celle finalement disponible à l'exploitation.
Si le bilan énergétique est négatif, il faut fournir plus d'énergie pour extraire la ressource que la ressource n'en fournira par elle même.
Chapitre 10 : Comportement global d'un circuit

Savoir utiliser l'additivité des résistances en série et des conductances en parallèle
Définition d'une résistance
La résistance désigne la capacité physique d'un matériau à s'opposer au passage d'un courant électrique sous une certaine tension. C'est de là que sont nés les composants électriques appelés les résistances.
Notations
Une résistance est habituellement représentée par un rectangle et se note R, K ou M selon sa capacité. R représente les ohms, K les kiloohms et pour finir, M les Megohms.
Un code couleur est appliqué sur les résistances afin de connaître leur valeur. Voici un tableau qui regroupe toutes les couleurs que vous pourrez retrouver sur les résistances.
C'est grâce aux petites bandes de couleur que vous pouvez savoir de quelle capacité est une résistance. Avec le temps et à force de travail, vous connaîtrez presque par cœur ce tableau récapitulatif des capacités.
Composition
Une résistance peut-être composée de divers matériaux selon qu'elle soit de faible ou haute puissance.
Par exemple, les résistances de moins de 2 W sont constituées de carbone et de céramique. Ce type de résistance a pour avantage de générer très peu de bruit thermique, ce qui en fait un élément de choix dans les circuits audio.
Les résistances faites pour supporter des puissances supérieures seront quand à elles fabriquées à l'aide d'un cylindre de céramique sur lequel sera enroulé un fil conducteur.
Pour finir, les résistances à très hautes puissance sont constituées de solution aqueuse contenant des ions cuivre et qui ralentissent grandement le passage du courant électrique.
Chapitre 11 : Champ magnétique
Tracer des lignes de champ et des vecteurs champ magnétique en un point
Définition
Une ligne de champ est une représentation approximative du chemin que suivrait un point en suivant les vecteurs du champ.
Chapitre 12 : Forces électromagnétiques et couplage électromécanique
Savoir représenter la force de Laplace sur un schéma de principe
Les forces de Laplace sont des forces en électromagnétique qui sont exercées par un champ magnétique sur un conducteur traversé par un courant.
Chapitre 13 : Visibilité d'un objet et le miroir plan
Savoir déterminer les caractéristiques de l'image d'un objet à travers un miroir plan
Un miroir plan est un miroir dont la surface est un plan de l'espace.
Dans un miroir plan, l''image d'un objet réel est virtuelle et l''image d'un objet virtuel est réelle.
Chapitre 14 : Images données par une lentille convergente
Savoir déterminer graphiquement la position d'une image et utiliser la formule de conjugaison

La réfraction de la lumière correspond au changement de direction du rayon lumineux lorsque celui-ci traverse une surface séparant deux milieux d'indices de réfraction différents.
La loi de Snell-Descartes de la réfraction exprime le changement de direction d'un faisceau lumineux lors de la traversée d'une paroi qui sépare deux milieux différents. Il faut d'abord savoir que chaque milieu est caractérisé par sa capacité à « ralentir » la lumière.
On modélise cette caractéristique par son indice de réfraction n qui s'exprime sous la forme :
 
Où v est la vitesse de la lumière dans ce milieu et c est la vitesse de la lumière dans le vide (souvent arrondie à 3.108 m.s-1
Il est important de savoir que :
- Le rayon lumineux est dit incident avant d'avoir rencontré la surface réfractante (appelée dioptre), il est dit réfracté après avoir rencontré cette dernière.
- Le point de rencontre du rayon incident et du dioptre est appelé point d'incidence.
- Le plan contenant le rayon incident et la normale au dioptre, au point d'incidence est dit plan d'incidence.
- L'angle orienté i1 pris entre la normale au point d'incidence et le rayon incident est dit angle d'incidence.
- L'angle orienté i2 pris entre la normale au point d'incidence et le rayon réfracté est dit angle de réfraction.
- Les angles i1 et i2 sont positifs si ils sont orientés dans le sens trigonométrique (sens inverse des aiguilles d'une montre), négatifs sinon.
On prend n1 l'indice de réfraction du milieu dans lequel se propage le rayon incident et n2 celui du milieu dans lequel se propage le rayon réfracté.
Pour pouvoir énoncer la loi de la réfraction, il faut que le rayon réfracté, le rayon incident et la normale (au dioptre) soient dans un même plan qui est appelé le plan d'incidence et que le rayon incident et le rayon réfracté soient situés de part et d'autre de la normale.
Lorsque n1 > n2 (et respectivement n1 < n2) le rayon réfracté (et respectivement : incident) se rapproche plus rapidement du dioptre que le rayon incident (ou réfracté). Cependant, il existe un cas particulier où le rayon réfracté (ou incident) se retrouve mathématiquement sur le dioptre (sa limite) : il y a alors réflexion totale.









 Loading...
Loading...









Si vous désirez une aide personnalisée, contactez dès maintenant l’un de nos professeurs !