Chapitres
- 01. La définition
- 02. La propriété
- 03. Le théorème
- 04. La réciproque
- 05. La contraposée
- 06. La démonstration
En mathématiques, comprendre les bases est la clé pour raisonner correctement et résoudre des problèmes. Dans un premier temps, nous vous présentons l’essentiel : définitions, propriétés et théorèmes. Puis, dans le reste de l’article, nous détaillons des concepts importants comme la réciproque, la contraposée et les différentes méthodes de démonstration, avec des exemples concrets pour que vous puissiez les appliquer facilement.
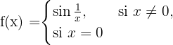
La définition

La définition est l'introduction d'une notion que l'on caractérise par ses attributs. Regardons différents exemples.
- Définition 1 : Le triangle est un polygone ayant 3 côtés.
- Définition 2 : Une fraction est une division non effectuée entre deux nombres entiers.
- Définition 3 : Le numérateur est le nombre au-dessus d'une barre de fraction.
- Définition 4 : Une fonction linéaire f est une fonction qui a tout x associe f(x)=ax où a est un réel.
- Définition 5 : Une suite est une famille d'éléments, que l'on appelle les termes, associés par les entiers naturels.
Voici un exemple de tableau pour organiser une propriété et ses conséquences :
| Hypothèses | Propriété | Conclusion |
|---|---|---|
| (d) est parallèle à (d’) et (d’) est parallèle à (d’’) | Si deux droites sont parallèles, alors toute droite parallèle à l’une est parallèle à l’autre. | (d) est parallèle à (d’’) |
| (d) est parallèle à (d’) et (d’’) est perpendiculaire à (d) | Si deux droites sont parallèles, toute perpendiculaire à l’une est perpendiculaire à l’autre. | (d’’) est perpendiculaire à (d’) |
| (d) est perpendiculaire à (d’) et (d’) est perpendiculaire à (d’’) | Si deux droites sont perpendiculaires à une même troisième, alors elles sont parallèles entre elles. | (d) est parallèle à (d’’) |
La propriété
Une propriété mathématique est une affirmation qui est toujours vraie. C'est une particularité d'un objet mathématique. Souvent, c'est l'une des caractéristiques de l'objet qui fait partie de la définition.
- Propriété 1 : Les diagonales d'un carré sont de même longueur.
- Propriété 2 : La somme des mesures des angles dans un triangle fait 180°.
- Propriété 3 : Toute suite numérique définie sur E peut être vue comme une application de N (ensemble des entiers naturels) dans E.
Le terme "propriété" est surtout utilisé dans le secondaire puisque l'on cite une affirmation à laquelle on ne semble pas attendre de démonstration.
Pourquoi ne pas demander de l'aide en cours de maths en ligne ?
Le théorème
Un théorème est un résultat important qui a été prouvé par une démonstration rigoureuse. Un théorème est écrit sous la forme d'une ou plusieurs hypothèses impliquant une conclusion. En mathématiques, on utilise également beaucoup le terme "proposition". La proposition est comparable à un théorème mais représente souvent un résultat moins important. Une proposition peut par exemple reprendre une propriété mais cette fois avec hypothèses et conclusion.
- Proposition 1 : Si M est un point de la médiatrice du segment [AB] alors MA = MB. On peut aussi l'écrire : M est un point de la médiatrice du segment [AB] ⇒ MA=MB. Ce symbole signifie "implique" et est souvent utilisé pour gagner du temps.
- Proposition 2 : Si une droite est la médiatrice d'un segment alors elle est perpendiculaire à ce segment.

Chaque théorème a en général un nom qui lui est associé. Ce nom correspond aux personnes qui l'ont démontré ou à la caractéristique du théorème.
- Théorème de Pythagore : Si un triangle est rectangle alors le carré de la longueur de l’hypoténuse est égal à la somme des carrés des longueurs des deux autres côtés.
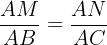
- Théorème de Thalès : Soient deux droites (d) et (d') sécantes en A. Soient B et M deux points de (d) distincts de A. Soient C et N deux points de (d') distincts de A. Si les droites (BC) et (MN) sont parallèles alors

- Théorème des valeurs intermédiaires : Si f est une fonction continue sur l'intervalle [a,b] alors elle prend toutes les valeurs comprises entre f(a) et f(b) au moins une fois.
Il arrive qu'on utilise d'autres termes comme lemme, corollaire ou axiome. Le lemme est une proposition qui prépare l'énoncé d'un théorème, c'est souvent l'une des étapes de la démonstration du théorème. Le corollaire est une proposition qui découle directement d'un théorème. Enfin, l'axiome est une proposition évidente que l'on tient toujours pour vraie par définition. Vous cherchez des cours de maths ?
La réciproque
L'énoncé réciproque d'une proposition s'obtient en inversant conclusion et hypothèses. Cependant, la réciproque d'une proposition n'est pas toujours vraie.
- Réciproque 1 : Regardons l'énoncé réciproque de la proposition 1. Si MA = MB, alors M appartient à la médiatrice du segment [AB]. Cet énoncé est toujours vrai, il correspond donc à une proposition. Ainsi on a une équivalence : M appartient à la médiatrice du segment [AB] ⇔ MA=MB. Cela signifie que l'implication est vraie dans les deux sens.
- Réciproque 2 : Regardons l'énoncé réciproque de la proposition 2. Si une droite est perpendiculaire à un segment alors elle est la médiatrice de ce segment. Cet énoncé est faux et la réciproque de la proposition 2 est fausse.
Les réciproques des théorèmes de Thalès et de Pythagore sont toutes les deux vraies mais la réciproque du théorème des valeurs intermédiaires est fausse.
- Réciproque du théorème de Pythagore : Si, dans un triangle, le carré de la longueur de l’hypoténuse est égal à la somme des carrés des longueurs des deux autres côtés alors le triangle est rectangle.
- Réciproque du théorème de Thalès : Soient deux droites (d) et (d') sécantes en A. Soient B et M deux points de (d) distincts de A. Soient C et N deux points de (d') distincts de A. Si
alors les droites (BC) et (MN) sont parallèles.
Voyons quelques exemples d'application de théorèmes et leur réciproque :
| Hypothèses | Propriété | Conclusion |
|---|---|---|
| M est le milieu du segment [AB] et (d) est la droite passant par M et perpendiculaire à (AB) | La droite qui passe par le milieu d’un segment et qui lui est perpendiculaire est appelée la médiatrice de ce segment. | (d) est la médiatrice du segment [AB] |
| (d) est la médiatrice du segment [AB] et C appartient à (d) | Tout point situé sur la médiatrice d’un segment est équidistant des deux extrémités de ce segment. | CA = CB |
| (d) est la médiatrice du segment [AB] et CA = CB | Tout point équidistant des deux extrémités d’un segment appartient à la médiatrice de ce segment. | C appartient à la droite (d) |
La contraposée
La contraposée d'une proposition est toujours vraie. Lorsqu'une proposition est de la forme A ⇒ B, la contraposée nous dit que non B ⇒ non A. Regardons les contraposées de nos propositions et théorèmes.
- Contraposée de la proposition 1 : Si MA et MB ne sont pas de même longueur, alors M n'est pas un point de la médiatrice du segment [AB]
- Contraposée de la proposition 2 : Si une droite n'est pas perpendiculaire à un segment donné, alors elle n'est pas la médiatrice de ce segment.
- Contraposée du théorème de Pythagore : Si le carré de la longueur de l’hypoténuse n'est pas égal à la somme des carrés des longueurs des deux autres côtés alors le triangle n'est pas rectangle.
- Contraposée du théorème des valeurs intermédiaires : Si une fonction f ne prend pas toutes les valeurs comprises entre f(a) et f(b) au moins une fois alors elle n'est pas continue sur l'intervalle [a,b].
Vous cherchez des cours de maths seconde ?
La démonstration

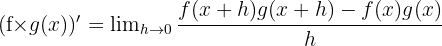
Il existe plusieurs méthodes "types" pour démontrer une proposition ou un théorème. Avant d'entamer une démonstration compliquée, on commence par vérifier qu'on ne peut pas simplement appliquer à nos hypothèses une proposition déjà démontrée ou revenir aux définitions. Par exemple, les propositions 1 et 2 sont évidentes, car elles découlent directement de la définition de la médiatrice (droite qui coupe perpendiculairement un segment en son milieu). Un autre exemple peut être de démontrer que la dérivée de
est
Il suffit de se ramener à la définition de la dérivée :
et de calculer
Enfin, on peut facilement démontrer la loi des cosinus, qui est la généralisation du théorème de Pythagore à un triangle quelconque en appliquant le théorème de Pythagore en utilisant la hauteur du triangle. Regardons les méthodes de démonstrations qui apparaissent le plus souvent. Trouvez votre cours de maths Terminale S.
Voici un format simple pour rédiger vos démonstrations :
| Hypothèses | Propriété | Conclusion |
|---|---|---|
| (xy) et (uv) sont parallèles et (st) leur est sécante respectivement en A et B. | Deux droites parallèles coupées par une sécante déterminent des angles alternes-internes et correspondants de même mesure. | |
| (xy) et (uv) sont 2 droites, (st) leur est sécante respectivement en A et B et les angles alternes-internes (ou correspondants) sont de même mesure. | Si deux droites sont coupées par une sécante qui détermine des angles alternes-internes (ou correspondants) de même mesure, alors elles sont parallèles. | (xy) et (uv) sont parallèles. |
La démonstration par récurrence
Elle consiste à poser une propriété définie sur les entiers naturels et à la démontrer en vérifiant : - que la propriété est vraie au rang initial (initialisation) - que la propriété est vraie au rang n+1 quand on la suppose vraie au rang n (hérédité) On peut finalement en conclure que la propriété est vraie pour tout entier naturel n. Par exemple, une des démonstrations exigibles au baccalauréat est celle de l'inégalité de Bernouilli : pour tout entier naturel n,
et cette démonstration se fait par récurrence.
La démonstration par contraposée
Démontrer la contraposée d'une proposition est une preuve suffisante de la proposition. Par exemple, on a pour proposition n² pair ⇒ n pair. Il est simple de montrer que n impair ⇒ n² impair. On pose n=2k+1. On a n²=(2k+1)²=4k²+4k+1 qui est impair.
La démonstration par contre exemple
Cette méthode est très utile pour prouver qu'une réciproque est fausse. Par exemple, pour montrer que la réciproque du théorème des valeurs intermédiaires est fausse, on étudie la fonction 
Si on prend un intervalle [a,b] comprenant 0, on a bien que la fonction prend toutes les valeurs possibles entre f(a) et f(b). Pourtant la fonction n'est pas continue en 0. Donc la réciproque du théorème des valeurs intermédiaires est fausse car elle admet un contre exemple.
Démonstration par disjonction de cas
Il arrive souvent qu'on sépare différents cas afin de démontrer une proposition. Par exemple, on veut montrer que n(n+1)(n+2) est divisible par 3 pour tout n. De cette façon on développe notre calcul pour n=3k, n=3k+1 et n=3k+2, qui sont les 3 cas possibles. On remarque que dans tous les cas possibles, on peut mettre 3 en facteurs. Donc n(n+1)(n+2) divisible par 3.
Démonstration par l'absurde
La démonstration par l'absurde consiste à supposer un résultat vrai et montrer qu'on arrive à une contradiction. L'exemple type est de montrer que
n'est pas rationnel. Pour cela, on suppose qu'il est rationnel et on pose
où la fraction est irréductible, c'est-à-dire a et b sont premiers entre eux. Cela implique qu'on a 2b²=a². Comme a² est pair, a est pair. Posons a=2a'. On a a²=4a' d'où b²=2a', donc b est pair. Or a et b ne peuvent pas être tous les deux pairs étant premiers entre eux. On arrive a une contradiction. Donc
n'est pas rationnel.
Résumer avec l'IA :



















Si vous désirez une aide personnalisée, contactez dès maintenant l’un de nos professeurs !
Bonne application
Je veux un prof mais j’ai pas d’argent et je ne suis pas sûre que mes parents adhéreront 🤔
Bonsoir, j’ai besoin immédiatement que quelqu’un m’aide à faire la démonstration de la 6eme propriété des nombres réels qui stipule pour tous les nombres réels
x et y tels que
x 1/y
J’adore
Salut j’aimerais qu’on m’aide à améliorer mon niveau en math
J’ai besoin d’un prof maintenant et urgent pour m’aider à répondre aux exercices si c’est possible
Bonjour,
Grace à Superprof, tu peux contacter de nombreux professeurs qui seront très heureux de t’aider à améliorer ton niveau.
Bonjour s’il vous plaît j’ai besoin d’aide en démonstration mathématique par le raisonnement par l’absurde
Etes vous sûr ?