Chapitres
- 01. Histoire du système de mesure : du chaos à un système ordonné
- 02. Les conventions d'écriture
- 03. Les unités permettent la logique scientifique
- 04. Les unités à connaître au lycée en physique et en chimie
- 05. Grandeurs du système international et usuelles
- 06. Correspondances entre le système international et le système usuel
- 07. Retrouver une unité grâce à l'analyse dimensionnelle
- 08. Homogénéité et relations mathématiques
Chaque grandeur physique ou chimique est presque systématiquement associée à une unité indispensable pour lui donner un sens. Son oubli après un résultat numérique peut coûter très cher (vous pouvez perdre des points ou même avoir un résultat considéré comme faux !) sur une copie de devoir ou de BAC. Seules quelques grandeurs définies d'une manière particulière ne disposent pas d'unités.
Histoire du système de mesure : du chaos à un système ordonné
Jusqu'au XVIIIème siècle il n'existait aucun système de mesure unifié. Pourtant, de nombreux rois avant Charlemagne tentèrent de réduire le nombre de mesures existantes.

En effet, la France comptait parmi les pays les plus inventifs et les plus chaotiques dans ce domaine : en 1795, plus de 700 unités différentes cohabitaient en France ! Beaucoup de ces unités étaient empruntées à la morphologie humaine et leurs noms en sont la preuve :
- Le doigt,
- La palme,
- Le pied,
- La coudée,
- Le pas,
- La brasse,
- Ou encore la toise.
Le problème avec ces unités de mesures est qu'elles n'étaient pas fixes puisqu'elles variaient d'une ville à l'autre, mais aussi selon la nature de l'objet mesuré, ce qui causait beaucoup de torts ! Les mesures de volume et celles de longueur n'avaient aucun lien entre elles puisque chaque multiple et sous multiple s'échelonnaient de façon aléatoire rendant les calculs compliqués, voir impossibles. Ces différentes unités étaient source de nombreuses erreurs et de fraudes lors des transactions commerciales, mais portaient aussi préjudice au développement des sciences puisque les calculs et les mesures des grandeurs étaient différents pour les scientifiques. C'est donc pour régler ces nombreux problèmes que la mise en place d'un système international se faisait de plus en plus pressante. Le Système International d'unité, abrégé SI, devient le successeur du système métrique en 1960 à partir d'une résolution de la 11ème Conférence générale des poids et mesures. Ce système permet de rapporter toutes les unités de mesure à un petit nombre d'étalons fondamentaux, permettant aux scientifique de se consacrer à améliorer leur définition. Ce travail est l'une des missions des différents laboratoires nationaux de métrologie.
Les conventions d'écriture
Par convention, les noms d'unités sont des noms communs on les écrit alors en minuscules : par exemple, on écrit « kelvin » et non « Kelvin », « ampère » et non « Ampère ». Pourtant, ces unités ont pour origine les noms propres des savants qui les ont inventées. De plus, puisque ces unités sont des noms communs, il peuvent prendre la marque du pluriel, (par exemple, on écrit un volt mais aussi deux volts). Cependant, les symbole prennent une majuscule (sauf convention contraire) si le nom de ces unités dérivent du nom d'une personne. Par exemple, on écrit "V" pour volt, provenant d'Alessandro Volta, "A" pour ampère provenant d'André-Marie Ampère et "Pa" pour pascal provenant de Blaise Pascal. Si le symbole ne dérive pas d'un nom propre, le symbole commence par une minuscule. C'est le cas des mètres qui s'écrit "m" mais aussi pour la mole qui s'écrit "mol". Cependant, il peut exister quelques exceptions adoptées lors des conférences générales des poids et mesures. Ces exceptions ont été adoptées pour éviter toute confusion, c'est le cas du litre qui se symbolisme par "L". Il en a été décidé ainsi pour éviter tout confusion avec la lettre "l" et le chiffre "1". L'unité du degré Celsius n'est pas une exception. Il ne faut pas oublier que son écriture correcte est le "degré Celsius" qui se symbolise par "°C". Les caractères ° et C sont indissociables puisque l'unité commence par le degré et que Celsius est un qualificatif. En effet, il existe différents degrés différents comme le degré Fahrenheit.
Les unités permettent la logique scientifique
La dimension d'une grandeur traduit la nature physique de cette grandeur. Si deux grandeurs présentent la même dimension, alors elles sont dites homogènes. Bien évidemment, seule la comparaison de deux valeurs de grandeurs physiques homogènes a un sens ! Par exemple, il est insensé de comparer une énergie à une masse puisque ce sont des grandeurs de natures différentes. Les unités permettent donc de quantifier la mesure d'une grandeur physique.
Les unités à connaître au lycée en physique et en chimie
| Grandeur | Unité dans le système internationnal |
|---|---|
| Accélération (a) | Mètre par seconde au carré (m/s² ou m.s-²) |
| Activité radioactive (A) | Becquerel (Bq) |
| Avancement de réaction (ξ ou χ) | Mole (mol) |
| Capacité thermique massique (c) | Joule par kilogramme et par Kelvin (J.kg-1.K-1) |
| Célérité (c) | Mètre par seconde (m/s ou m.s-1) |
| Champ électrique (E) | Volt par mètre (V/m ou V.m-1) |
| Champ magnétique (B) | Tesla (T) |
| Champ de pesanteur (g) | Newton par kilogramme (N/kg ou N.kg-1) |
| Charge électrique (q ou Q) | Coulomb (C) |
| Concentration massique (Cm) | Gramme par litre (g/L ou g.L-1) |
| Concentration molaire (C) | Mole par litre (mol/L ou mol.L-1) |
| Conductivité (σ) | Siemens par mètre (S/m ou S.m-1) |
| Conductivité ionique molaire (λ) | Siemens mètre carré par mol (S.m2/mol ou S.m2.mol-1) |
| Distance (d) | Mètre (m) |
| Energie (E) | Joule (J) |
| Flux thermique (Φ) | Watt (W) |
| Fréquence (f ou ν) | Hertz (Hz) |
| Intensité électrique (I) | Ampère (A) |
| Intensité d'une force (F) | Newton (N) |
| Intensité sonore (I) | Watt par seconde au carré (W/s² ou W.s-²) |
| Longueur d'onde (λ) | Mètre (m) |
| Masse (m) | Gramme (g) |
| Masse molaire (M) | Gramme par mol (g/mol ou g.mol-1) |
| Masse volumique (ρ) ou Densité (ρ) | Gramme par litre (g/L ou g.L-1) (Attention : une densité n'a pas d'unité) |
| Niveau d'intensité sonore (L) | Décibel (dB) |
| Nombre d'onde (σ) | Mètre moins un (m-1) |
| pH | Sans unité |
| Poids (P) | Newton (N) |
| Pression (P) | Pascal (Pa) |
| Puissance (P) | Watt (W) |
| Quantité de matière (n) | Mole (mol) |
| Quantité de mouvement (p) | kilogramme mètre par seconde (kg.m/s ou kg.m.s-1) |
| Résistance électrique (R) | Ohm (Ω) |
| Solubilité (s ou Cm) | Gramme par litre (g/L ou g.L-1) |
| Surface (S) | Mètre carré (m²) |
| Température (T) | Kelvin (K) |
| Temps (t) | Seconde (s) |
| Tension électrique (U) | Volt (V) |
| Travail (W) | Joule (J) |
| Vergence (V) | Dioptrie (δ) |
| Vitesse (v) | Mètre par seconde (m/s ou m.s-1) |
| Volume (V) | Mètre cube (m3) |
Grandeurs sans unité

Il existe des grandeurs qui ne s'expriment pas avec une unité, c'est notamment le cas de :
- La densité,
- L'indice de réfraction,
- Le pH,
- L'absorbance,
- La transmittance,
- Le déplacement chimique.
Grandeurs du système international et usuelles
L'ensemble des unités associées aux dimensions fondamentales constitue le système international d'unités. Il s'agit du système MksA (mètre, kilogramme, seconde, Ampère), mais le Kelvin, le mole et le candela font aussi partie de ce système. Ces unités sont appelées unités légales. Elles sont universelles et connues de par le monde entier.
Il est important de savoir que toutes les autres dimensions se déduisent de ces sept dimensions fondamentales par produit ou division de ces dimensions.
Dans certains sujets d'exercices, les grandeurs ne sont pas exprimées dans le système international mais avec des grandeurs usuelles. Il est facile de les comprendre et elles sont parfois utilisées dans la vie de tous les jours, mais il est essentiel de toujours effectuer les calculs avec les grandeurs exprimées dans l'unité internationale pour éviter les erreurs. Par exemple, la pression est souvent exprimée en Bar. Or, dans le système international, la pression s'exprime en Pascal !
Correspondances entre le système international et le système usuel
Voici quelques correspondances entre les modèles usuel et internationnal qui pourront faciliter vos conversions :
- 1 bar = 100 000 Pa
- 1 L = 0,001 m3
- 0°C = 273,15 K
- 1 g/L = 1 000 g/m3
- 1 are = 100 m²
Retrouver une unité grâce à l'analyse dimensionnelle
Si, lors d'un exercice, vous vous retrouvez face à une formule dont vous ignorez l'unité du résultat, ne paniquez pas ! Il est très simple de retrouver l'unité avec ce qu'on appelle une analyse dimensionnelle.
Une analyse dimensionnelle consiste à décomposer les grandeurs physiques mises en jeu dans une formule afin de retrouver l'unité de la grandeur cherchée.
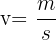
Voici un exemple simple :
En décomposant les grandeurs physique en leur unité, on obtient :
On peut donc en déduire que l'unité de la vitesse est le m/s, soit m.s−1
Homogénéité et relations mathématiques

Il faut savoir, avant de procéder à une analyse dimensionnelle que :
- Deux grandeurs de valeurs égales ont nécessairement la même dimension,
- Les termes d'une somme ont nécessairement la même dimension,
- La dimension d'un produit de facteur est le produit des dimensions des facteurs.
Il faut aussi procéder systématiquement à une analyse dimensionnelle des grandeurs définies par les formules car cela permet :
- De comprendre la signification physique des termes apparaissant dans les expressions et équations littérales,
- De détecter une erreur de calcul,
- De déterminer l'expression approchée d'une grandeur sans résoudre exactement le problème.
Surtout, n'hésitez pas à vous prêter régulièrement à ce type d'exercice pour qu'il se fasse de la façon la plus naturelle, fluide et rapide qu'il soit lors des examens. Pratiquez chez vous et montrer le résultat à votre enseignant pour qu'il puisse vérifier ce que vous faîtes !
Résumer avec l'IA :



















Si vous désirez une aide personnalisée, contactez dès maintenant l’un de nos professeurs !
Bonjour pour le l c’est quoi comme notation
Bonjour, pouvez-vous préciser la nature de la notation ?
Bonne journée !