Chapitres
La longue histoire de l'atome
En 400 av JC, un philosophe grecque nommée Démocrite est le premier homme à penser que la matière est constituée de minuscules particules tellement petite que l'on ne peut les diviser d'où leur nom de atomos qui signifie indivisible en grec.

La première approche des électrons date de l'époque de la Grèce Antique. Ceux-ci avaient pris conscience qu'une certaine oléorésine, l'ambre était capable d'attirée des objets si elle était frottée avec de la fourrure. Sans le savoir, ils venait de découvrir l'électricité statique. Il s'agit du deuxième phénomène électrique dont l'Homme a pris conscience, juste après la foudre. En 1269, un ingénieur militaire qui servait auprès du prince Charles Premier de Sicile, se mit à étudier le phénomène d'attirance ente des petits objets après qu'ils aient été frottés.
La découvert de l'atome est imputable à Ernest Rutherford. Durant le début des années 1910, il s'est attelé à comprendre la composition de l'atome. Il a alors déterminé que l'atome était constitué d'un noyau qui concentrait toute la charge positive et aussi presque toute la masse de l'atome. Ce noyau est entouré d'un nuage électronique composé d'électrons. L'un de ses collègues de laboratoire, Niels Bohr, a quant à lui démontré que les états de l'électrons dépendaient de l'énergie déterminée par le nombre n de l'atome. C'est à lui qu'on doit la compréhension de l'émission d'un photon lors d'un passage à un état inférieur.
Le modèle de l'atome
En sciences physiques, un modèle est une représentation de la réalité. Ce n'est donc pas la réalité. Cette représentation est élaborée progressivement à partir des observations. Un modèle doit posséder deux vertus:
- Permettre d'expliquer les propriétés observées ;
- Permettre de prévoir d'autres propriétés non encore observées.
Un modèle est en permanente évolution puisque de nouvelles découvertes sont susceptibles de le mettre en défaut. Enfin et paradoxalement c'est souvent l'étude des défauts d'un modèle qui permet d'approfondir nos connaissances en sciences physiques.
A l'heure actuelle les physiciens et les chimistes pensent q'un atome peut être modélisé par une structure présentant un noyau autour duquel existe une zone sphérique centrée sur le noyau et dans laquelle il y a une certaine probabilité de trouver les électrons. Cette partie de l'atome est appelée nuage électronique. On donne ci-contre un dessin d'un modèle probabiliste d'un atome d'hydrogène composé d'un noyau et d'un unique électron.
Constitution de l'atome
Un atome est constitué d'un noyau autour duquel tournent des électrons tous identiques. Un atome a une structure lacunaire (les électrons sont séparés du noyau par du vide). La masse de l'atome est concentrée dans un noyau de petite taille. Le noyau de l'atome est chargé positivement, les électrons sont chargés négativement. Un atome est électriquement neutre.
Voici un tableau qui regroupe quelques atomes à connaître :
| Symbole | Nom |
|---|---|
| H | Hydrogène |
| C | Carbone |
| N | Azote |
| O | Oxygène |
| F | Fluor |
| Na | Sodium |
| Fe | Fer |
| Cl | Chlore |
| Ca | Calcium |
Les nucléons
Le noyau de l'atome est constitué de deux types de particules, les nucléons dont certaines propriétés sont regroupées dans le tableau ci-dessous :
| Nom | Charge | Masse |
|---|---|---|
| Proton | 1,6.10 -19 C | 1,67.10-27 kg |
| Neutron | 0 | 1,67.10-27 kg |
Il faut mémoriser que la charge électrique portée par le proton est notée e et appelée charge élémentaire. C'est la plus petite charge électrique stable que l'on puisse isoler.
La masse d'un atome
La masse des électrons est négligeable devant celle du noyau.
On dit que la masse d'un atome est concentrée dans son noyau.

La charge électrique d'un atome
C'est la somme de la charge électrique + des particules du noyau et celle – des électrons.
Cette somme est nulle : On dit que l'atome est électriquement neutre.
Les charges électriques étant les même, il y a autant d'électrons qui gravitent autour du noyau que de particules le constituant.
Exemple : L'atome de fer a 26 électrons et 26 particules + dans son noyau.
La taille d'un atome
Elle est infiniment petite.
Le diamètre d'un atome vaut en moyenne 10-1 nm ( 1 nm = 10 -9 m ).
Le diamètre du noyau vaut en moyenne 10-6 nm.
Le noyau est 100 000 fois plus petit que l'atome.
Entre les électrons et le noyau, il n'y a que du vide.
On parle de la structure lacunaire de l'atome.
Les nombres Z et A
Le nombre de charge ou numéro atomique Z d'un noyau est le nombre de protons qu'il contient.
A représente le nombre de nucléons du noyau.
On convient de représenter le noyau d'un atome par le symbole:
Dans ce symbole, X représente un élément. Par exemple O: oxygène, Cl: chlore, N: azote.
Si l'on note N le nombre de neutrons du noyau on a: A=Z+N.
Les isotopes
On appelle atomes isotopes les ensembles d'atomes caractérisés par le même numéro atomique Z et des nombres de nucléons A différents. Ce sont donc des ensembles d'atomes qui ne diffèrent que par le nombre de leurs neutrons.
Exemple: 
Composition du noyau
Le noyau d'un atome se compose d'éléments que l'on appelle les nucléons. Ce sont eux qui définissent le nombre de masse d'un atome.
Le nombre de masse d’un atome est le nombre de nucléons qu’il contient. Il s’agit donc de la somme du nombre de protons et du nombre de protons qui constituent le noyau de l’atome
Dans ces nucléons se trouvent des protons dont la charge est positive et des neutrons à charge neutre. Ces deux composants sont très fortement liés entre eux. Le rayon d'un nucléon est d'environ 10-15 m alors que l'atome tout entier a un diamètre avoisinant les 10-10 m.
Stabilité de l'atome
Pour que le noyau et les électrons restent stables entre eux. Ils sont donc liés par une énergie de liaison. Si ils ne sont pas bien liés entre eux, les atomes deviennent instables et se transforment. Ils sont donc radioactifs. Il existe trois types de radioactivité.
Radioactivité gamma
La radioactivité gamma est un rayonnement provoqué par une désintégration gamma. Le plu souvent, ces désintégrations accompagnent des désintégrations alpha ou bêta. En effet, quand il émet un rayon alpha ou bêta, le noyau devient excité. Lors de l’émission d’un rayonnement électromagnétique gamma, le noyau peut donc redescendre à un état plus stable.
Radioactivité bêta
La radioactivité bêta est un type de désintégration radioactive où une particule bêta (électron ou positron) est émise. On parle de radioactivité bêta + quand un positron est émis mais on parle de radioactivité – quand c’est un électron qui est émis.
Radioactivité alpha
La radioactivité alpha est un rayonnement provoqué par une désintégration alpha qui est une désintégration radioactive où un noyau atomique éjecte une particule alpha qui se transforme en un autre noyau dont le nombre de masse est diminué de 4 et le numéro atomique de 2 à cause de la particule alpha manquante qui est analogue au noyau d’hélium 4.Stabilité du noyau
Certains noyaux qui ont une bonne énergie de liaison restent stables. En réalité, la stabilité n'existe pas vraiment. On considère qu'on atome est stable quand sa demie-vie est égale à 1033 années, soit la durée de vie du proton. En conclusion, il n'existe aucun noyau qui soit réellement stable à l'échelle de l'Univers. Par exemple, le diamant que nous trouvons tous très solide et stable est instable à l'échelle de la Terre mais stable à l'échelle de l'Homme.
Liaisons
Dans un solide moléculaire les atomes sont liés par des liaisons covalentes : les deux atomes mettent en commun leurs électrons célibataires pour créer un doublet liant. Quand les deux atomes sont identiques, la paire d’électron qui relie les deux atomes est répartie équitablement entre les deux atomes. On dit alors que la molécule est apolaire. Quand deux atomes qui mettent leurs électrons en jeu sont différents et qu’il existe une différence d’électronégativité significative entre ces deux atomes, la liaison est dire polarisée et on appelle ce type de molécule, molécule polaire.
Une liaison covalente est dite polarisée si les deux atomes qui sont liés ont des électronégativités très différentes. En effet, dans ce cas, un des deux atomes aura tendance à attirer les électrons, ce qui a pour effet de polariser la liaison. Plus la différence d’électronégativité est grande et plus la polarisation de la liaison sera importante. Il se forme ainsi une sorte de dipôle électrique. Le décalage des électrons conduit à noter une charge partielle négative δ– sur l’atome le plus électronégatif et une charge partielle positive δ+ sur le moins électronégatif
La stabilité des structures électroniques est aussi impactée par l'électronégativité.
L’électronégativité d'un élément est sa capacité à attirer les électrons lors de la création de liaisons chimiques avec d'autres éléments
On peut trouver l'électronégativité d'un élément grâce à sa position dans le tableau périodique des éléments. En effet il existe un lien entre la période et l'électronégativité. Par exemple, en lisant le tableau de gauche à droite, sur une période, l'électronégativité augmente. Il en va de même si on lit le tableau de bas en haut par colonne. La classification périodique des éléments, aussi appelée tableau de Mendeleïev, du nom de son créateur. C’est un chimiste russe qui en 1869 créa un tableau dont le but était de regrouper tous les éléments chimiques connus par points communs (groupes et familles par exemple). Il a souvent été ajusté et mis à jour depuis cette époque. Sa dernière révision date de 2016 par l’UICPA (Union internationale de chimie pure et appliquée), une ONG suisse qui a pour but l’évolution de la physique-chimie. Le tableau périodique compte à ce jour 118 éléments.
Le nuage électronique
On appelle ainsi la zone sphérique de l'espace, centrée sur le noyau, dans laquelle il y a une certaine probabilité de trouver, à un instant donné, le (ou les) électron(s) de l'atome. certaines propriétés de l'électron sont données ci-dessous :
| Charge | Masse | |
|---|---|---|
| Electron | e = 1,6 x 10-19 C | 9,1 x 10-31 kg |
Il n'est pas nécessaire de retenir la valeur de la masse de l'électron. Par contre il est utile de savoir que cette masse est beaucoup plus petite que celle d'un nucléon (environ 2000 fois plus petite) ce qui nous autorise à négliger la masse des électrons devant celle des nucléons.
me est négligeable devant mp ou mn.
L'atome d'hydrogène est représenté ci-contre. Ces dimensions sont:
- Diamètre du noyau: dn = 2,4.10-15 m ;
- Diamètre de l'atome: da = 1,1.10-10 m.
Il s'agit du plus petit atome connu. Il n'est pas important de retenir ces valeurs mais l'ordre de grandeur de leur rapport 
La conductimétrie
Chaque atome d'un métal possède un électron peu attiré par le noyau appelé électron libre. Dans un circuit électrique ouvert, les électrons se déplacent autour des atomes dans tous les sens. Dans un circuit électrique fermé, les électrons se déplacent tous dans le même sens : de la borne négative vers la borne positive du générateur. Les électrons libres se déplacent dans le sens inverse du sens conventionnel du courant électrique.

Exercice : Mesurer la température grâce aux atomes
Les horloges à fontaine atomique de césium sont des horloges parmi les plus précises à ce jour. Elles utilisent une radiation dont la fréquence correspond à la transition hyperfine entre deux niveaux d’énergie atomique de l’atome de césium. Quand les atomes sont « lents » ou « froids », on peut mesurer avec grande précision la fréquence correspondant à cette transition d‘énergie atomique. La précision et la stabilité des horloges atomiques sont telles qu’elles constituent aujourd'hui les étalons de temps. Une horloge de ce type, construite à l’observatoire de Paris, atteint une précision relative de 10–15.
Dans cet exercice, on s’intéresse au principe de fonctionnement d’une horloge à fontaine atomique.
Dans une enceinte sous vide, un nuage d’atomes de césium est d’abord piégé et refroidi a quelques microkelvins dans un piège magnéto-optique (PMO) à l’aide de six faisceaux laser (figure 1) ; ainsi le nuage d’atomes ne s’éparpille pas trop vite sous l’effet de l'agitation thermique.
Après extinction des faisceaux laser, le nuage est lancé vers le haut (figure 2). Les atomes de césium passent alors dans une cavité à micro-ondes où ils interagissent avec une radiation électromagnétique.
Puis ils poursuivent leur mouvement vers le haut en ralentissant sous l’effet de la pesanteur et retombent en traversant une deuxième fois la cavité à micro-ondes.


La précision de ce type d‘horloge est d’autant plus grande que le temps séparant les deux passages par la cavité à micro-ondes est grand.
Avec une fontaine haute d’un mètre, ce temps est de l’ordre de la seconde, ce qui est cent fois plus qu‘avec un jet atomique conventionnel.
Données :
- Constante de Planck : h = 6,63 ´ 10–34 J.s ;
- Accélération de la pesanteur terrestre : g = 9,8 m.s–2 ;
- Masse d‘un atome de césium : M = 2,207 ´ 10–25 kg ;
- Longueur d’onde du rayonnement émis par chaque laser : l = 852 nm ;
- Fréquence de la transition hyperfine de l’atome de césium : 9193 MHz ;
- Domaines du spectre électromagnétique en fonction de la longueur d’onde :

1. Quelques principes mis en œuvre dans le refroidissement d’un nuage d’atomes
1.1. Interaction laser - atome de césium au repos
On s’intéresse à un atome initialement immobile dans le référentiel du laboratoire. La quantité de mouvement du système {atome + photon} se conserve. Après absorption d’un photon de quantité de mouvement
(figure 3.a), l'atome est animé d’une vitesse de « recul » Vrec , de même direction et de même sens que le photon incident (figure 3.b).

absorption d’un photon.

Dans la situation décrite par les figures 3.a et 3.b, montrer que la valeur de la vitesse de « recul » Vrec dans le référentiel du laboratoire, a pour expression
avec h la constante de Planck, λ la longueur d’onde du laser, et M la masse de l'atome de césium. Calculer la valeur de la vitesse Vrec.
1.2. Interaction laser - atome de césium en mouvement dans le référentiel du laboratoire
On restreint l’étude au cas particulier où l’atome de césium est en mouvement dans le référentiel du laboratoire décrit par la figure 4.


Figure 4. Absorption d‘un photon par un atome en mouvement
La conservation de la quantité de mouvement pour le système {atome+photon} permet d‘écrire la relation :
avec V et V ’ les vitesses de l'atome respectivement avant et après absorption d‘un photon.
1.2.1. Interpréter cette relation en justifiant chacun de ses termes et de ses signes.
Exprimer V ’ en fonction de V et de Vrec et conclure dans ce cas sur l’effet produit par l’absorption d’un photon sur la vitesse de l’atome de césium.
L’absorption d’un photon se fait sur une durée de l’ordre de Δt = 30 ns pour l’atome de césium.
1.2.2. Calculer l’ordre de grandeur de l’accélération subie par cet atome lors de l’absorption d'un photon. Le comparer à l’accélération de cet atome en chute libre.
1.3. Le piège magnéto-optique (PMO)
Dans le PMO, les six faisceaux laser sont disposés par paire selon trois directions orthogonales de l’espace.
Par paire, selon une direction, ils se propagent dans des sens opposes (figure 1).
On considère un atome de césium de vitesse V dans le référentiel du laboratoire en interaction avec une paire de faisceaux laser de fréquence ν. On se place dans le cas où l’atome de césium se rapproche du laser de gauche, tandis qu’il s'éloigne du laser de droite comme illustré sur la figure 5.

Dans le référentiel lié à l’atome, les fréquences des deux faisceaux laser perçues par l'atome de césium sont différentes.
1.3.1. Quel est le phénomène mis en jeu ? Comparer chacune des deux fréquences perçues par rapport à la fréquence ν.
1.3.2. Pour obtenir un ralentissement de l’atome de césium dans la situation de la figure 5, indiquer le photon (gauche ou droite) qui doit être absorbé par l’atome en mouvement.
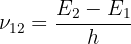
Les atomes de césium sont ralentis au centre de six faisceaux laser. On définit la fréquence de résonance atomique par 
où E1 et E2 sont les énergies des deux niveaux d’énergie de l’atome de césium mis en jeu. La probabilité pour un atome de césium d‘absorber un photon d'un faisceau laser est d’autant plus grande que la fréquence du faisceau perçue par l’atome est proche de la fréquence de résonance atomique.
1.3.3. Parmi les propositions ci-dessous choisir celle qui convient et la justifier.
Pour obtenir un ralentissement efficace des atomes de césium, la fréquence ν des lasers est réglée de sorte que :
- n est égale à ν12.
- n est légèrement inférieure à ν12.
- n est légèrement supérieure à ν12.
2. Principe de la fontaine de césium
Lorsqu’un atome de césium passe dans la cavité à micro-ondes, il est excité par le rayonnement produit dans la cavité. Ce rayonnement a la même fréquence que celle associée à la transition hyperfine de l’atome de césium.

2.1. Justifier le terme « micro-ondes » attribué à la cavité.
On suppose qu’à l’instant t = 0, le nuage atomique dans l’enceinte sous vide est à l’altitude z = 0. Il est lancé vers le haut avec une vitesse initiale V0 = 5,0 m.s-1 (figure 6).
2.2. Montrer que la date tmax à laquelle le nuage d’atomes atteint le sommet de la fontaine a pour expression :
.
En déduire l‘expression de la hauteur H de la fontaine :
2.3. Calculer les valeurs de tmax et de H puis vérifier la cohérence de ces valeurs avec le texte introductif.
2.4. Des expériences de refroidissement ont été conduites en 1992 par les physiciens de l’ENS (École normale supérieure) en collaboration avec le CNES (Centre national d’études spatiales), lors d’une série de vols paraboliques en avion permettant de se placer dans les conditions de gravité réduite. Dans quel but ces expériences ont-elles été menées ? Justifier votre réponse.

Résumer avec l'IA :



















Si vous désirez une aide personnalisée, contactez dès maintenant l’un de nos professeurs !