Chapitres
- 01. Introduction
- 02. Problématique
- 03. Rappels
- 04. Analyse
- 05. Principe de l'analogie
- 06. Remarque hors-programme
- 07. Le théorème de Gauss
- 08. Loi de Coulomb
- 09. Principe de superposition
- 10. Réalisation d'un exercice
- 11. Validation
Introduction
L’expression de la force fondamentale s’exerçant entre deux particules chargées est analogue à celle s’exerçant entre deux particules massives. Cette similarité formelle est à l’origine des analogies entre électrostatique et gravitation
Problématique
Déjà vu : En cours de PCSI, l'analogie formelle entre intéraction électrique et intéraction gravitationnelle dans l'étude des mouvements en 1/r2. Ici, prolongement de l'analogie avec l'équation de Maxwell-Gauss et le théorème de Gauss.
Rappels
Champ électrique
En physique, on appelle champ électrique tout champ vectoriel créé par des particules électriquement chargées. Plus exactement, lorsque nous sommes en présence d'une particule chargée, les propriétés locale de l'espace défini sont alors modifié ce qui permet de définir la notion de champ. En effet, si une autre charge se trouve être dans le dit champ, elle subira ce qu'on appelle l'action de la force électrique qui est exercée par la particule malgré la distance. On dit alors du champ électrique qu'il est le médiateur de la dite action à distance. Si on se veut plus précis, on peut définir dans un référentiel galiléen défini, une charge q définie de vecteur vitesse v qui subit de la part des autres charges présentes, qu'elles soient fixes ou mobiles, une force qu'on définira de force de Lorentz. Cette force se décompose ainsi :
avec :
le champ électrique. Celui-ci décrit dans ce cas la partie de la force de Lorentz qui est indépendante de la vitesse de la charge
le champ magnétique. Celui-ci décrit ainsi la partie de la force exercée sur la charge qui dépend du déplacement de cette même charge dans le référentiel choisi.
De plus, il est important de noter que les deux champs, électrique et magnétique, dépendent du référentiel d'étude. Avec cette formule, on peut alors définir le champ électrique comme étant le champ traduisant l'action à distance subie par une charge électrique fixe dans un référentiel défini de la part de toutes les autres charges, qu'elles soient mobiles ou fixes. Mais on peut également définir le champ électrique comme étant toute région de l'espace dans laquelle une charge est soumise à une force dite de Coulomb. On commence à parler de champ électrostatique lorsque, dans un référentiel d'étude, les charges sont fixes. Notons d'ailleurs que le champ électrostatique ne correspond pas au champ électrique comme décrit plus haut dans cet article puisqu'en effet, lorsque les charges sont en mouvement dans un référentiel, il faut ajouter à ce référentiel un champ électrique qui est induit par les déplacement des charges afin d'obtenir un champ électrique complet. Mais, le champ électrique reste dans la réalité un caractère relatif puisqu'il ne peut exister indépendamment du champ magnétique. En effet, si on observe la description correcte d'un champ électromagnétique, celui-ci fait intervenir un tenseur quadridimensionnel de champ électromagnétique dont les composantes temporelles correspondent alors à celle d'un champ électrique. Seul ce tenseur possède un sens physique. Alors, dans le cas d'un changement de référentiel, il est tout à fait possible de transformer un champ magnétique en champ électrique et inversement.
Les différents types de champ électrique
Le champ électrostatique
On parle de champ électrostatique lors que les charges qui constitue le champ sont au repos dans le référentiel d'étude. Ce champ est donc déduit de l'expression de la loi de Coulomb, aussi appelée interaction électrostatique.
Analogie du champ gravitationnel
En physique classique, on appelle champ gravitationnel, ou encore champ de gravitation, un champ qui est réparti dans l'espace et dû à la présence d'une masse qui est alors susceptible d'exercer une influence gravitationnelle sur tout les autres corps pouvant être présent à proximité immédiate ou non. On peut démontrer que le champ gravitationnel créé en un point quelconque par un corps ponctuel dérive d'un potentiel scalaire dit newtonien. En physique classique, le champ gravitationnel ou champ de gravitation est un champ réparti dans l'espace et dû à la présence d'une masse susceptible d'exercer une influence gravitationnelle sur tout autre corps présent à proximité (immédiate ou pas). L'introduction de cette grandeur permet de s'affranchir du problème de la médiation de l'action à distance apparaissant dans l'expression de la force de gravitation universelle. On peut interpréter le champ gravitationnel comme étant la modification de la métrique de l'espace-temps. L'approximation newtonienne est alors valable uniquement dans le cas où les corps présentent une vitesse faible par rapport à celle de la lumière dans le vide et si le potentiel gravitationnel qu'ils créent est tel que le quotient du potentiel gravitationnel sur le carré de la vitesse de la lumière dans le vide est négligeable. On peut approcher le champ électrique et le champ gravitationnel. En effet, l'expression du champ et du potentiel ne sont différents que d'une constante. De plus, les principaux théorèmes de calculs, celui de la superposition ou de Gauss par exemple, peuvent s'appliquer dans les deux cas. Ce qui les différencie alors est le caractère attractif, donc entre deux charges de signe opposé, ou répulsif, donc entre deux charges de même signe, du champ électrique tandis que le champ gravitationnel ne peut être qu'attractif.

Analyse
- L'analogie repose sur la similitude des lois de Coulomb (électromagnétisme) et loi de Newton (gravitation).
- Il est souvent inutile de faire les calculs de champs gravitationnels à partir de répartitions de masses, on procède plutôt par analogie avec les résultats connus de l'électrostatique.
Principe de l'analogie
La force d'interaction gravitationnelle, tout comme la force d'interaction électrostatique, est une force conservative. Ainsi, elles représentent toutes les deux le gradient d'une énergie potentielle. Dans ce cas, il est alors possible d'adapter absolument tous les calculs de champ et de potentiel étudiés dans le cadre du cours sur la distribution de masses dans le but de calculer le champ et le potentiel gravitationnels en un point définis de l'espace. Il en va de même avec le théorème de Gauss.

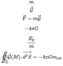
Grandeurs analogues
Voici un tableau illustrant les similitudes entre un champ électrostatique et un champ gravitationnel
| Électrostatique | Gravitation |
|---|---|
![]() | ![]() |
Remarque hors-programme
Il peut être intéressant de mentionner que la force électrique fondamentale, également appelée force de Coulomb, peut être utilisée comme fondement de l'électrostatique. Ainsi, on peut déduire de ce fondement le théorème de Gauss. C'est donc pour cela que l'on peut dire que la ressemblance formelle, c'est-à-dire les similarité des formules mathématiques, entre la force de Coulomb et la force gravitationnelle est une base solide permettant de fonder l'analogie entre les deux classes de phénomènes énoncés dans ce cours. Ainsi, à partir de la force de Coulomb et par superposition, on peut être capable d'établir des expressions intégrales du champ électrique en fonction de la distribution de charge. Bien que ces calculs soient trop complexes pour être utiles dans les calculs analytiques, ils peuvent être très utiles afin de déterminer un champ électrique par résolution numérique, c'est-à-dire par ordinateur. Notons qu'il est possible de démontrer ces formules en utilisant le théorème de superposition.

Le théorème de Gauss
Le théorème de Gauss permet, en électromagnétisme, de calculer le flux d'un champ électrique à travers une surface qui est fermée et ce grâce à la connaissance des charges électriques que cette surface renferme. Il s'énonce ainsi :
Le flux du champ électrique à travers une surface S fermée est égal à la somme des charges électriques contenues dans le volume V délimité par cette surface, divisée par la permittivité du vide.
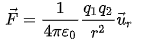
Loi de Coulomb
Coulomb, un physicien français, a établi en 1758 que le champ doit varier comme le carré inverse de la distance entre les charges à une précision de 0,02 sur l'exposant avec l'aide d'un dispositif appelé balance de Coulomb. Cette balance est constituée d'un fil de torsion en argent sur lequel est fixé des matériaux chargés. Ainsi, la loi d'attraction entre deux charges ponctuelles notées q1 et q2 , fixes dans le référentiel défini et séparées par une distance r, se définit ainsi :
- La force est dirigée selon la droite reliant les deux charges ;
- Elle est attractive si les charges sont de signes opposée et répulsive sinon ;
- Son intensité est proportionnelle aux valeurs de q1 et q2 et varie en raison inverse du carré de la distance r.
Il est alors possible de traduire ces caractéristiques en une formule exprimant la force exercée par q1 sur q2 :
avec :
le vecteur unitaire de la droite reliant q1 et q2 qui est dirigée dans le sens 1 vers 2
la permittivité diélectrique du vide
Ce qui peut rendre la compréhension de cette formule compliquée est la notion de force à distance. En effet, comment une charge peut savoir qu'une autre charge ponctuelle se trouve à une certaine distance d'elle et alors exercer sur force sur cette charge en fonction de la distance qui les sépare. Dans ce cas, tout comme pour un champ gravitationnel, il peut être utile de séparer dans la loi de force ce qui dépend de la charge subissant la force et donc d'obtenir la relation suivante :
avec :
un champ électrique électrostatique créé à partie de la charge q1 au point où se trouve la seconde charge q2
Ainsi, avec cette relation, il est plus aisé d'interpréter l’existence d'une force à distance. En effet, la charge considérée comme "source", c'est-à-dire q1, crée en tout point de l'espace un champ électrique dont la forme est donnée par la relation exprimée ci-dessus, et une charge quelconque considérée comme "test" subira l'effet de ce champ sous la forme d'une force égale au produit de cette charge par le champ électrostatique. Dans ce cas, ce champ électrostatique apparaîtra comme la force entre deux particules ponctuelles fixes par unité de charge.
Principe de superposition
Il est possible d'appliquer le principe de superposition à un système de type entrée-sortie si :
- La somme de deux entrées quelconque correspond à la somme des deux sorties correspondantes ;
- Un multiple d'une entrée quelconque correspond le même multiple de la sortie correspondante.
Dans ce cas, c'est-à-dire celui d'un système physique, on peut appeler l'entrée excitation et la sortie réponse. On obtient alors, en notant les excitations ƒ et les réponses x (donc les mouvements généré par les forces mécaniques ƒ) :
- Lorsque l'on sollicite le système par une entrée, donc une excitation notée ƒ1, une réponse, donc un déplacement, qui sera noté x1 ;
- Lorsque l'on sollicite le système par une entrée, donc une excitation notée ƒ2, une réponse, donc un déplacement, qui sera noté x2 .
Réalisation d'un exercice
- Tableau d'équivalence entre électrostatique et gravitation
- Exemple du champ gravitationnel terrestre.
- Calcul du champ gravitationnel.
- Différence entre attraction gravitationnelle et pesanteur.
Validation
- Ordre de grandeur de la densité de terre à partir du champ de pesanteur.
- Comparaison entre force électrique et force gravitationnelle dans un atome d'hydrogène.





















Si vous désirez une aide personnalisée, contactez dès maintenant l’un de nos professeurs !
la theorie synergetique de René LouisVallée?