Chapitres
1. Les états de la matière
1. Descriptions
La nature connait trois états physiques pour la matière. On interprète ces trois états par la disposition des particules constituant la matière et l'agitation due à la température (agitation thermique).
 _ L'état solide est un état compact et ordonné. Ce qui veut dire que les particules sont collées l'une à l'autre et malgré l'agitation thermique restent à la même position moyenne.
 _ L'état liquide est toujours compact et désordonné. Les particules restent collées l'une à l'autre mais se déplacent les unes sur les autres.
 _ L'état gazeux est dispersé et désordonné : les particules sont loin les unes des autres et toujours en mouvement.
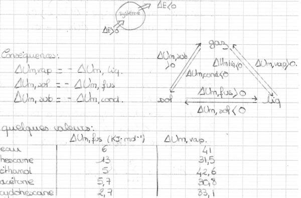
2. Les changements d'état

Les changements d'état sont des passages provoqués d'un état à l'autre en apportant des modifications de température ou de pression. Chacun de ces changements nécessite donc une énergie pour être effectif.
 Au cours d'un changement d'état à pression constante, la température n'évolue pas alors que de l'énergie est consommée pour changer d'état. Cela signifie que chaque état physique possède une énergie responsable de sa cohésion.
 L'énergie responsable de la cohésion d'un état physique se nomme énergie de cohésion et se note ΔU.
3. Énergie de cohésion Δum,coh
L'énergie de cohésion d'un solide ou d'un liquide à la température T0 est l'énergie qu'il faut fournir pour transformer une mole de ce liquide ou solide en gaz à la même température T0.
 Il s'agit en fait de l'énergie qui correspond à l'attraction des particules constituant le corps.
Remarque :
 _ L'énergie de cohésion d'un gaz est nulle par définition.
 _ L'ordre de grandeur de Δum est de 104 à 105 Joules/mol pour un liquide est 105 pour un solide.
4. Énergie de changement d'état, Δum,chgt
Lors du changement d'état d'un corps, la température reste constante mais on doit continuer à fournir de l'énergie pour provoquer le changement d'état. L'énergie produite alors est l'énergie du changement d'état.
Définition : L'énergie molaire du changement d'état d'un corps pur est égale à l'énergie échangée avec le milieu extérieur à la température du changement d'état et à pression donnée lors du passage d'une mole de ce corps d'un état à l'autre.
5. Transfert d'énergie
D'un point de vue énergétique on considère que l'énergie d'un système est négative. Et lorsqu'elle est gagnée elle est positive.

Tout système possède une énergie interne U et toute variation de cette énergie s'écrira ΔU = Ufinale-Uinitiale.
2. Transformation de la matière
1. Énergie molaire de réaction
Dans un système chimique, l'énergie interne varie au cours de la réaction, de l'énergie est échangée entre le réacteur (lieu de la réaction) et le milieu extérieur.
 L'énergie molaire d'une réaction chimique correspond à l'énergie échangée avec les milieu extérieur au cours de la réaction lorsque son avancement a atteint sa valeur maximale.
 Par exemple, la combustion du carbone fournit de l'énergie thermique au milieu extérieur.
 _ réaction exothermique : ΔUm,r < 0
 _ réaction endothermique : ΔUm,r > 0
 _ réaction athermique : ΔUm,r = 0
2. Réactions élémentaires
Certaines réactions chimiques peuvent être décomposées en plusieurs réactions dites élémentaires. La somme des réactions étant équivalente à la réaction totale. Dans ce cas, ΔUm,r de la réaction est égale à la somme des ΔUm,r des réactions élémentaires.

3. Variation d'énergie interne dans le réacteur
La variation d'énergie interne chimique d'un réacteur au cours d'une réaction est égale au produit de l'énergie molaire de réaction par l'avancement maximal.










 Loading...
Loading...









Si vous désirez une aide personnalisée, contactez dès maintenant l’un de nos professeurs !