Chapitres
- 01. Rappel
- 02. Théorème de flux divergence
- 03. Exercices corrigés
Rappel

Pour rappel, en coordonnées scalaires, on définit les éléments suivants : gradient, divergence, rotationnel et Laplacien. Ces opérateurs sont construits à partir de l'opérateur Nabla noté
On définit ainsi le gradient appliqué à un champ scalaire :
Lorsqu'on effectue le produit scalaire entre l'opérateur nabla et un champ vectoriel, on obtient la divergence en un champ scalaire :
Lorsqu'on effectue le produit vectoriel entre l'opérateur nabla et un champ vectoriel, on obtient le rotationnel :
Enfin, il existe le laplacien scalaire et le laplacien vectoriel. Le laplacien scalaire est l'application au champ scalaire du carré :
Le laplacien vectoriel est l'application du laplacien scalaire à chacune des composantes du champ vectoriel :
On peut résumer grossièrement l'ensemble des calculs du laplacien vectoriel dans l'image ci-dessous. Par ailleurs, en coordonnées cylindriques, l'ensemble de ces calculs diffèrent. On peut résumer l'ensemble des éléments de calcul, à savoir la divergence, lien le gradient, le rotationnel et le laplacien dans l'image ci-dessous.

Théorème de flux divergence
Le théorème de flux divergence également appelé le théorème de Green-Ostrogradski est un théorème mettant en évidence le lien entre l'intégrale de la divergence et le flux du champ :
avec V étant le volume
étant la frontière du volume
étant le vecteur normal à la surface
est dérivable en tout point du volume
est l'opérateur nabla.

Exercices corrigés
Exercice
Exercice 1 : Calcul de gradient et divergence Pour chacune des coordonnées suivantes, déterminer les coordonnées du gradient de f où f est le champ scalaire suivant : 
Pour chacune des coordonnées suivantes, déterminer la divergence de f où f est le champ scalaire suivant : 
Exercice 2 : Calcul du rotationnel On sait qu'un champ de vecteur F dérive d'un potentiel scalaire s'il existe un champ scalaire f tel que F = grad(f). Démontrer que le champ suivant possède un rotationnel nul :
défini sur 
Comment prendre des cours de math ?
Corrigés
Exercice 1: 1. On calcul la dérivée partielle pour chacune des coordonnées du gradient : 
D'où
2. On calcule la dérivée partielle pour chacune des coordonnées du gradient : 
D'où
3. On calcule la dérivée partielle pour chacune des coordonnées du gradient : 
D'où
4. On calcule la dérivée partielle pour chacune des coordonnées du gradient : 
D'où
5. On calcule la dérivée partielle pour chacune des coordonnées du gradient : 
D'où
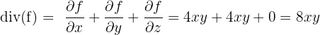
1'. On détermine la divergence de f :

D'où
2'. On détermine la divergence de f : 
D'où
3'. On détermine la divergence de f : 
D'où
4'. On détermine la divergence de f : 
D'où
5'. On détermine la divergence de f : 
D'où 
Exercice 2 : Pour f de
dans R, on a :
,
et
. On en déduit les valeurs de f en intégrant chacune des dérivées partielles :
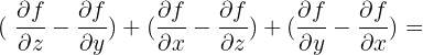
Les valeurs de h(y,z), h(x,z), h(x,y) sont des constantes. Pour chacune des dérivées partielles, les variables des autres valeurs sont par conséquent des constantes. Maintenant que l'on a calculé les intégrales des dérivées partielles, on peut calculer le rotationnel :

Le rotation de F est donc nul.

A noter que le calcul du rotationnel est très utilisé en physique notamment pour calculer la valeur des champs électromagnétiques.
Résumer avec l'IA :



















Si vous désirez une aide personnalisée, contactez dès maintenant l’un de nos professeurs !
L’application est très bonne
Bonsoir expliquer moi avec les exercices sur calcul de grandient, de divergences et de rotationnelle en mécanique de point.merci
Je trouve votre site hyper génial, je vous souhaite pleins de succès car vous le méritez, bonne continuation et encore bravo pour ce superbe site !