Chapitres
Le champ magnétostatique
Pour comprendre le champ magnétostatique, il faut savoir ce que sont des champs électriques, des champs magnétiques et des champs électrostatiques.
Un champ magnétostatique est un champ magnétique indépendant du temps. L'étude de la magnétostatique permet donc de calculer les champs magnétiques quand leur source est connue. Ces champs magnétostatiques s'exercent dans deux cas : les courants électriques et les aimants.
Histoire de la magnétostatique
Si les aimants sont connus depuis l'Antiquité, fabriqués à base de magnétite, il faudra attendre 1752 pour que Franklin découvre la foudre et les perturbations magnétiques qui en découlent. Ce sont les marins qui avaient remarqué que les orages perturbaient les boussoles. On établit alors pour la première fois le lien entre magnétisme et électricité.
Ce n'est pourtant qu'en 1820 avec l'expérience de Oersted que la première théorie d'électromagnétisme apparaît. Pour son expérience, Oersted plaça un fil conducteur au dessus d’une boussole et y fit passer un courant. En présence d’un courant l’aiguille de la boussole est effectivement déviée, démontrant alors un lien entre le courant électrique et le champ magnétique.

Le champ électrostatique
Il est possible de définir un champ électrostatique à partir d'un champ électrique et d'un champ magnétique. Nous vous expliquerons pourquoi dans les paragraphes suivant.
Champ électrique
En physique, on appelle champ électrique tout champ vectoriel créé par des particules électriquement chargées. Plus exactement, lorsque nous sommes en présence d'une particule chargée, les propriétés locale de l'espace défini sont alors modifié ce qui permet de définir la notion de champ. En effet, si une autre charge se trouve être dans le dit champ, elle subira ce qu'on appelle l'action de la force électrique qui est exercée par la particule malgré la distance. On dit alors du champ électrique qu'il est le médiateur de la dite action à distance.
Si on se veut plus précis, on peut définir dans un référentiel galiléen défini, une charge q définie de vecteur vitesse v qui subit de la part des autres charges présentes, qu'elles soient fixes ou mobiles, une force qu'on définira de force de Lorentz. Cette force se décompose ainsi :
 
 avec :
 le champ électrique. Celui-ci décrit dans ce cas la partie de la force de Lorentz qui est indépendante de la vitesse de la charge le champ électrique. Celui-ci décrit dans ce cas la partie de la force de Lorentz qui est indépendante de la vitesse de la charge
 le champ magnétique. Celui-ci décrit ainsi la partie de la force exercée sur la charge qui dépend du déplacement de cette même charge dans le référentiel choisi. le champ magnétique. Celui-ci décrit ainsi la partie de la force exercée sur la charge qui dépend du déplacement de cette même charge dans le référentiel choisi.
De plus, il est important de noter que les deux champs, électrique et magnétique, dépendent du référentiel d'étude.
Avec cette formule, on peut alors définir le champ électrique comme étant le champ traduisant l'action à distance subie par une charge électrique fixe dans un référentiel défini de la part de toutes les autres charges, qu'elles soient mobiles ou fixes.
Mais on peut également définir le champ électrique comme étant toute région de l'espace dans laquelle une charge est soumise à une force dite de Coulomb.
On commence à parler de champ électrostatique lorsque, dans un référentiel d'étude, les charges sont fixes. Notons d'ailleurs que le champ électrostatique ne correspond pas au champ électrique comme décrit plus haut dans cet article puisqu'en effet, lorsque les charges sont en mouvement dans un référentiel, il faut ajouter à ce référentiel un champ électrique qui est induit par les déplacement des charges afin d'obtenir un champ électrique complet.
Mais, le champ électrique reste dans la réalité un caractère relatif puisqu'il ne peut exister indépendamment du champ magnétique. En effet, si on observe la description correcte d'un champ électromagnétique, celui-ci fait intervenir un tenseur quadridimensionnel de champ électromagnétique dont les composantes temporelles correspondent alors à celle d'un champ électrique. Seul ce tenseur possède un sens physique. Alors, dans le cas d'un changement de référentiel, il est tout à fait possible de transformer un champ magnétique en champ électrique et inversement.
Le champ électromagnétique
En physique, on appelle champ électromagnétique la représentation dans l'espace d'une force électromagnétique exercée par des particules chargées. Ce champ représente alors l'ensemble des composantes de la force électromagnétique qui s'appliquent à une particule chargée qui se déplace alors dans un référentiel galiléen.
On peut alors définir la force subit par une particule de charge q et de vecteur vitesse par l'expression suivante :
 
 avec :
 le champ électrique. Celui-ci décrit dans ce cas la partie de la force de Lorentz qui est indépendante de la vitesse de la charge
 le champ électrique. Celui-ci décrit dans ce cas la partie de la force de Lorentz qui est indépendante de la vitesse de la charge
  le champ magnétique. Celui-ci décrit ainsi la partie de la force exercée sur la charge qui dépend du déplacement de cette même charge dans le référentiel choisi.
 le champ magnétique. Celui-ci décrit ainsi la partie de la force exercée sur la charge qui dépend du déplacement de cette même charge dans le référentiel choisi.
En effet la séparation de la partie magnétique et de la partie électrique de dépend que du point de vue pris selon le référentiel d'étude.
De plus, il peut être intéressant de savoir que les équations de Maxwell régissent les deux composantes couplées, c'est à dire électrique et magnétique, de sorte que toute variation d'une composante induira la variation de l'autre composante.
D'ailleurs, le comportement des champs électromagnétiques se trouve décrit de façon classique par les équations de Maxwell et de manière plus générale par l'électrodynamique quantique.
La façon la plus utilisée afin de définir le champ électromagnétique est celle du tenseur électromagnétique de la relativité restreinte.
Le champ électrostatique
On parle de champ électrostatique lors que les charges qui constitue le champ sont au repos dans le référentiel d'étude. Ce champ est donc déduit de l'expression de la loi de Coulomb, aussi appelée interaction électrostatique.
Il s'exprime de deux façons : en Volts par mètre ou en Newton pat Coulomb.
La loi de Coulomb
Coulomb, un physicien français, a établi en 1758 que le champ doit varier comme le carré inverse de la distance entre les charges à une précision de 0,02 sur l'exposant avec l'aide d'un dispositif appelé balance de Coulomb. Cette balance est constituée d'un fil de torsion en argent sur lequel est fixé des matériaux chargés. Ainsi, la loi d'attraction entre deux charges ponctuelles notées q1 et q2 , fixes dans le référentiel défini et séparées par une distance r, se définit ainsi :
- La force est dirigée selon la droite reliant les deux charges ;
- Elle est attractive si les charges sont de signes opposée et répulsive sinon ;
- Son intensité est proportionnelle aux valeurs de q1 et q2 et varie en raison inverse du carré de la distance r.
Il est alors possible de traduire ces caractéristiques en une formule exprimant la force exercée par q1 sur q2 :
 
 avec :
 le vecteur unitaire de la droite reliant q1 et q2 qui est dirigée dans le sens 1 vers 2 le vecteur unitaire de la droite reliant q1 et q2 qui est dirigée dans le sens 1 vers 2
 la permittivité diélectrique du vide la permittivité diélectrique du vide
Ce qui peut rendre la compréhension de cette formule compliquée est la notion de force à distance. En effet, comment une charge peut savoir qu'une autre charge ponctuelle se trouve à une certaine distance d'elle et alors exercer sur force sur cette charge en fonction de la distance qui les sépare.
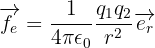
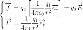
Dans ce cas, tout comme pour un champ gravitationnel, il peut être utile de séparer dans la loi de force ce qui dépend de la charge subissant la force et donc d'obtenir la relation suivante :
 
 avec :
 un champ électrique électrostatique créé à partie de la charge q1 au point où se trouve la seconde charge q2 un champ électrique électrostatique créé à partie de la charge q1 au point où se trouve la seconde charge q2
Ainsi, avec cette relation, il est plus aisé d'interpréter l’existence d'une force à distance. En effet, la charge considérée comme "source", c'est-à-dire q1, crée en tout point de l'espace un champ électrique dont la forme est donnée par la relation exprimée ci-dessus, et une charge quelconque considérée comme "test" subira l'effet de ce champ sous la forme d'une force égale au produit de cette charge par le champ électrostatique. Dans ce cas, ce champ électrostatique apparaîtra comme la force entre deux particules ponctuelles fixes par unité de charge.
Quelques méthodes de calcul

Ces méthodes sont numérotées par ordre de priorité.
Lorsqu'une action proposée est impossible, passer à la méthode suivante.
Méthode 1 : Théorème de superposition
- Décomposer la distribution de courant en quelques distributions simples.
- Pour chaque distribution, calculer le champ magnétique au point M considéré en utilisant éventuellement les méthodes qui suivent.
- Additionner les champs en indiquant qu'il s'agit du théorème de superposition.
Attention :
Les champs s'ajoutent en un même point de l'espace.
Il s'agit d'une somme vectorielle
Rappel : Somme vectorielle
Méthode 1 :
Utiliser la relation de Chasles en utilisant une notation intrinsèque pour les champs.
Méthode 2 :
Déterminer la direction du champ total au point M :
Méthode 1 : associer deux par deux des champs symétriques.
Méthode 2 : trouver un plan de symétrie ou deux plans d'antisymétrie de la distribution de charge, passant par M.
Projeter les champs à additionner dans cette direction.
Sommer ces différentes projections.
Méthode 3 :
Faire la somme des composantes dans une base orthonormée bien choisie.
Méthode 4 :
Somme graphique
Méthode 2 : Théorème d'Ampère
- Déterminer l'allure du spectre dans tout l'espace d'étude : - Déterminer la direction du champ en un point M quelconque de l'espace : - Méthode 1 : associer deux par deux des champs élémentaires symétriques.
- Méthode 2 : trouver un plan de symétrie ou deux plans d'antisymétrie de la distribution de charge, passant par M.
 
- Déterminer les variables dont dépend la norme du champ dans l'espace, en invoquant des arguments d'invariance du problème vu par l'observateur par translation ou rotation du point M.
 
- Déterminer la direction du champ en un point M quelconque de l'espace : 
- Choisir un contour d'Ampère passant par le point où on cherche le champ. Pour simplifier le calcul ultérieur de la circulation, le contour doit suivre les lignes de champ ou les couper orthogonalement.
- Appliquer le théorème d'Ampère.
- Remarque : dans le cas d'une distribution volumique, et des symétries simples, on peut utiliser l'équation de Maxwell-Ampère au lieu du théorème d'Ampère : - Ecrire l'équation de Maxwell-Ampère et la simplifier dans un système de coordonnées adapté à l'allure du spectre.
- Intégrer l'équation si la simplification était suffisante.
- Déterminer la constante d'intégration en considérent une position particulière du point M.
 
Méthode 3 - Loi de Biot et Savart et calcul intégral
Voir le document "Calcul d'intégrales multiples vectorielles ou scalaires"
Remarque :
Dans le cas particulier du solénoïde infini (et les distributions qui en dérivent), partir du fait que le champ est nul à l'extérieur (démonstration précise vue en cours), puis utiliser le théorème d'ampère pour déterminer le champ à l'intérieur du solénoïde.
S'entraîner
Exercice 1 : Techniques physiques et chimiques de détection de faux médicaments
L’Organisation Mondiale de la Santé alerte sur le commerce illicite de médicaments contrefaits qui s’étend aujourd’hui à l’échelle mondiale. On peut citer l’exemple d’un sirop contre la toux dans lequel l’un des excipients, le glycérol, a été substitué par un antigel toxique, l’éthylène glycol.
Cet exercice propose d’étudier plusieurs techniques physico-chimiques susceptibles d’identifier des sirops contrefaits.

Données :
- Charge électrique élémentaire : e = 1,60×10-19 C ;
- Constante d’Avogadro : NA = 6,02×1023 mol-1 ;
- Propriétés physico-chimiques du glycérol et de l’éthylène glycol :
| Glycérol ou propane-1,2,3-triol | Éthylène glycol ou éthane-1,2-diol | |
|---|---|---|
| Formule brute | C3H8O3 | C2H6O2 | 
| Caractéristiques diverses | Liquide transparent incolore, visqueux, non toxique, au goût sucré ; agent hydratant qui améliore l’onctuosité des préparations pharmaceutiques | Liquide transparent incolore, au goût sucré, toxique, pouvant être mortel à l’ingestion | 
| Masse molaire (g.mol-1) | 92,1 | 62,1 | 
| Masse volumique à 25°C (g.cm-3) | 1,3 | 1,1 | 
| Température de fusion à la pression atmosphérique (°C) | 17,8 | -13,7 | 
| Température d’ébullition à la pression atmosphérique (°C) | 290 | 197 | 
| Indice de réfraction à 589,3 nm à 25°C | 1,47 | 1,44 | 
1. Comparaison des propriétés du glycérol et de l’éthylène glycol
1.1. À quelle famille de composés organiques appartiennent le glycérol et l’éthylène glycol ?
1.2. Quelle(s) caractéristique(s) commune(s) au glycérol et à l’éthylène glycol rend(ent)-elle(s) possible la contrefaçon d’un sirop ?
1.3. Proposer une interprétation pour rendre compte de la grande différence de température d’ébullition de ces deux molécules.
2. Différentes techniques pour distinguer le glycérol de l’éthylène glycol
2.1. Citer deux techniques expérimentales non spectroscopiques permettant de distinguer le glycérol de l’éthylène glycol.
2.2. Spectroscopie infrarouge
2.2.1. Quelle information sur une molécule un spectre infrarouge permet-il d’obtenir ?
2.2.2. La spectroscopie infrarouge est-elle une technique pertinente pour repérer un sirop contrefait à l’éthylène glycol ? Justifier.
2.3. Spectroscopie de RMN du proton
2.3.1. La spectroscopie de RMN du proton permet-elle de distinguer le glycérol de l’éthylène glycol ?
Justifier si le spectre de la figure 1 est celui du glycérol ou celui de l’éthylène glycol.
2.3.2. La spectroscopie de RMN du proton est une méthode adaptée pour connaître la structure d’un composé pur ; elle est par contre mal adaptée pour analyser les constituants d’un mélange contenant un grand nombre d’espèces chimiques et reconnaître ainsi un sirop contrefait. Justifier cette affirmation.

3. Spectrométrie de masse à temps de vol
Le spectromètre à temps de vol
Le spectromètre à temps de vol est un dispositif permettant d’analyser les constituants d’un mélange. Une petite quantité du mélange liquide à analyser est injectée dans une enceinte où règne un vide poussé appelée chambre d’ionisation (figure 2). Le liquide se vaporise et les molécules présentes dans le gaz sont ionisées de sorte qu’elles se retrouvent sous forme d’ions mono-chargés de charge q = e. Ces ions pénètrent dans la chambre d’accélération où ils acquièrent une vitesse v sous l’action d’un champ électrique uniforme. Les ions les plus légers acquièrent une vitesse plus grande que les ions les plus lourds. Les ions parcourent ensuite une distance d connue, dans une zone où ne règne pas de champ électrique (tube de vol). Un détecteur à la sortie du tube de vol permet de mesurer le temps de vol Δt , durée nécessaire aux ions pour parcourir la distance d. La mesure des temps de vol caractéristiques de chaque ion permet d’identifier les différents constituants d’un mélange.

3.1. Accélération des ions
La chambre d’accélération est constituée de deux plaques métalliques parallèles positionnées en A et B (figure 2). Une tension UAB positive est appliquée entre ces deux plaques, produisant un champ électrique uniforme E.
On pourra négliger l’influence du poids des ions dans la chambre d’accélération.
3.1.1. Pourquoi les molécules constituant le mélange doivent-elles être ionisées à l’entrée de la chambre d’accélération ?
Un ion, de charge électrique q = e et de masse m, se déplace dans la chambre d’accélération entre les deux plaques. L’effet du champ électrique E est tel que la variation d’énergie cinétique de l’ion entre les deux plaques A et B est égale au travail de la force électrique F s’exerçant sur lui entre A et B : 
La relation entre le champ électrique E et la tension électrique UAB dans le dispositif est donnée par l’expression : 
On étudie le mouvement de l’ion dans le référentiel du laboratoire supposé galiléen.
3.1.2. En faisant l’hypothèse que la vitesse initiale de l’ion est nulle au point A, montrer que l’expression de la vitesse vB de l’ion en B est : 
3.1.3. En déduire l’influence de la masse de l’ion sur la valeur de sa vitesse et justifier en la citant une des phrases du texte d’introduction sur le spectromètre à temps de vol.
3.2. Parcours dans le tube de vol
L’ion pénètre dans le tube de vol de longueur d = 1,50 m avec la vitesse vB précédente dont l’ordre de grandeur est un million de km.h-1. On peut considérer le mouvement de l’ion dans le tube de vol comme rectiligne uniforme.
3.2.1. Montrer que, dans ces conditions, la masse m de l’ion s’exprime ainsi : 
3.2.2. Le spectromètre à temps de vol est réglé avec les paramètres suivants : UAB = 25,0 kV ; d = 1,50 m. On introduit un échantillon pur dans la chambre d’ionisation. Le temps de vol mesuré est : Δt = 6,56 µs.
S’agit-il de glycérol ou d’éthylène glycol ?
3.2.3. La résolution du spectromètre à temps de vol permet de distinguer deux espèces chimiques si l’écart entre leurs temps de vol est supérieur à 20 nanosecondes.
Cette technique permettrait-elle de distinguer un sirop contre la toux produit dans un laboratoire pharmaceutique de sa contrefaçon ?
Exercice 2 : Des sphères géantes immergées sous l’eau
Le projet de recherche scientifique baptisé StEnSEA (pour « Stored Energy in the Sea ») développé par l’institut allemand Fraunhofer IWES propose un nouveau dispositif de stockage de l’électricité constitué de sphères géantes immergées en mer.

On cherche à comprendre en quoi ce type de dispositif pourrait être intéressant pour stocker l’énergie et en pallier l’intermittence.

Partie 1 – Le fonctionnement des sphères
Document 1 : fonctionnement général et paramètres des sphères
Chacune de ces sphères est connectée à un système de production d'électricité (ferme éolienne, ferme solaire…).
Lors des périodes de forte production d'énergie, l'énergie électrique excédentaire qui ne peut être injectée dans le réseau est utilisée pour faire fonctionner des pompes qui expulsent l’eau présente à l’intérieur des sphères. À l’inverse, en période de faible production, on laisse l’eau s’engouffrer dans les sphères à travers un jeu de turbines qui génèrent de l’énergie électrique.
L'objectif de ce projet est que chacune des sphères soit en mesure de stocker 20 MWh.
| Paramètre | Valeur | 
|---|---|
| Profondeur de l’installation | 750 m | 
| Diamètre intérieur de la sphère | 28,6 m | 
| Energie stockée | 20 MWh | 
| Energie restituée | 18,3 MWh | 

1- À partir du schéma simplifié du couple turbine-alternateur (document 2), indiquer quel élément (aimant ou bobine) constitue la source de champ magnétique et aux bornes de quel élément (aimant ou bobine) se crée une tension électrique.
2- Recopier et compléter le schéma représentant la chaine de transformation énergétique du couple turbine-alternateur lors du remplissage d’une sphère.

3- Calculer le rendement de l’opération de stockage d’énergie réalisée par l’une des sphères.
Partie 2 - Alimentation des sphères par une ferme photovoltaïque
Les sphères immergées sont reliées à une ferme solaire. On se propose d’étudier le fonctionnement d’une cellule photovoltaïque, élément de base de chaque panneau photovoltaïque de la ferme solaire.
Grâce aux mesures réalisées aux bornes de la cellule, on trace la caractéristique tension - intensité (en trait plein) et la caractéristique tension - puissance (en pointillé).

4- Déterminer graphiquement la valeur de la puissance maximale Pmax.
5- En déduire la valeur de l’intensité maximale Imax et celle de la tension maximale Umax.
6- En déduire que la valeur de la résistance du récepteur à utiliser avec le panneau pour fonctionnement optimal est environ égale à 50 Ω.
Partie 3 - Conclusion
7- Rédiger un paragraphe argumenté d’une dizaine de lignes environ expliquant en quoi cette association sphères immergées -panneaux solaires permet de « pallier l’intermittence des énergies » mais n’est pas sans impact sur l’environnement et la biodiversité.









 Loading...
Loading...









Si vous désirez une aide personnalisée, contactez dès maintenant l’un de nos professeurs !