Chapitres
Cuisine et chimie : incompatibles ?
Croyez-moi, trouver des documents sur la gélification n'est pas chose facile. Et alors faire un TPE dessus, c'est l'horreur. Mais voilà, je trouve que je m'en suis plutôt bien sorti, et j'étais entouré de collègues qui travaillaient sur la cuisine moléculaire, et eux avaient des TPE tout faits pour s'aider (les arômes, les émulsions, la réaction de Maillard). Mais moi, rien ! Et alors, j'ai juré de mettre mon TPE en ligne après l'avoir fini, pour éviter aux potentiels chercheurs de gélatine de rester sans informations six mois.

La gélatine
Qu’est-ce qui fait le bonheur des gourmands et des autres ? Pourquoi les enfants redoutent un plat d’épinards dégoulinants et se ruent sur la première sucrerie qu’ils voient ? La cuisine est une affaire de goût, mais pas seulement. Elle met autant à profit les papilles de votre langue que vos yeux. Pendant que nous sommes dans l’alimentation “chimique”, prenons un exemple simple : un crocodile rouge fluorescent. Qui ne baverait pas en voyant simplement la couleur si douce de ce crocodile et sa texture si moelleuse ? Alors pourquoi ne pas compléter le moindre de vos plats pour donner à ceux qui le mangeront une vision de l’absolu culinaire, avec un peu de gélatine ? La gélatine a ce pouvoir fascinant de rendre vos plats meilleurs en ne touchant pas - ou peu - au goût qu’ils ont. Dans un premier temps, je dois expliquer l’incroyable structure de la gélatine, qui assure sa cohésion et sa stabilité, quelque part entre solide et liquide. Et puis la gélatine ne servirait à rien de comestible si elle n’était pas utilisée à bon escient, je montrerai donc comment l’application rigoureuse des lois de la chimie permet de sublimer le moindre plat servi. Depuis peu, des nouvelles méthodes pour gélifier ont été découvertes, et j’aborderai celle des hydrocolloïdes, en choisissant le xanthane comme exemple.
La formation de la gélatine
La gélatine est une substance solide translucide, transparente ou légèrement jaune, presque sans goût et sans odeur, obtenue par l'ébullition prolongée de la peau animale et des tissus conjonctifs. Elle possède de nombreuses applications dans le domaine culinaire, de la médecine ou de l'industrie. Le numéro E de la gélatine est E441. Il est aisé de penser que ce que l’on voit de brillant sur les plats est de la gélatine. C’est faux. La gélatine est le moyen de gélifier, et ce qui se trouve sur nos aliments, c’est une solution colloïdale : un gel. Celui-ci est obtenu après dissolution puis réchauffement de la feuille de gélatine dans de l’eau.
Présentation des solutions colloïdales
C’est une solution colloïdale, autrement dit sous forme de gel qui contient en suspension des particules suffisamment petites (entre 2 et 200 nm) pour que le mélange soit homogène.
Le collagène est un des principaux constituants de la gélatine. C’est une fibre qui constitue les tissus conjonctifs, et une glycoprotéine fibreuse dont le rôle peut-être comparé à une armature. En effet, ce collagène est constitué d’acides aminés responsables de la rigidité locale du gel : la proline et l’hydroxyproline.
L’hydrolyse en milieu acide du collagène permet de dissocier les trois chaînes de cette protéine, appelés tropocollagène. Ce sont eux qui sont responsables de la texture de la gélatine, et qui sont en fait les particules en suspension.


Le collagène et ses trois brins de tropocollagène.

Les tensioactifs
On trouve également une grande quantité de micelles dans les solutions colloïdales, comme la gélatine. Les micelles sont des agrégats sphéroïdaux de molécules possédant une tête polaire hydrophile dirigée vers le solvant et une chaîne hydrophobe dirigée vers l’intérieur. En fait, les molécules s’orientent en fonction des répulsions exercées par le solvant.

Ces micelles sont composées de tensioactifs, et dans le cas de la gélatine, on parle d’agents dispersants. Ils permettent de fixer les particules hydrophobe contenus dans une solution hydrophile, telle que de l’eau, ce qui permet de créer une dispersion, c’est-à-dire une solution aqueuse contenant des particules en suspension. D’un mélange instable, composé de particules non miscibles, on peut en assurer la stabilité grâce à la tension en surface, qui est proportionnelle à l’aire de contact entre la micelle et la solution.
Les tensioactifs permettent une dispersion plus aisée entre les brins de tropocollagène. Cela permet d’expliquer la stabilité d’une substance colloïdale : les particules chargées sont toutes de même signe. Si l’on branche une électrode de signe opposée à un endroit du gel, toutes les particules migrent vers elle. On démontre donc que la stabilité d’une solution colloïdale est due aux répulsions entre particules de tropocollagène, assurée par les agents dispersants, ici, les micelles.
Il existe bien d’autres interactions entre les particules, mais elles sont très négligeables face à l’interaction électromagnétique.
Comment progresser grâce aux cours de physique en ligne ?
La pectine
De plus, le gel est constitué d’environ 0,1% (en général) de pectine : c’est un polymère du glucose, et elle est utilisée comme additif alimentaire. Sa forme dans l’espace, qui pourrait faire penser à une sorte de filet, permet de capturer les composés aromatiques dans les gelées, qui sont ensuite relâchées lors de la dégustation de la gelée, sous l’effet de la température, et qui libère ainsi les arômes vers les papilles gustatives des gourmands.


Application culinaire de la gélatine
Introduction d’un nouveau paramètre : le bloom
Le bloom est la force maximale mesurée lors de la pénétration d’un cylindre standardisé de ½ pouce de diamètre à une profondeur de 4 mm et avec une vitesse de 1 mm/seconde dans un gel à 6,67 % maturé pendant 18 heures à 10°C dans un flacon spécifique.
En clair, il permet de qualifier la force du gel, soit sa résistance à la pénétration d’un objet dans le gel.

Propriétés de la gélatine
Le gel obtenu après dissolution dans l’eau chaude de la gélatine et refroidissement présente plusieurs avantages pour des applications alimentaires :
- Il est très clair, cette transparence étant recherchée dans les confiseries par exemple.
- Il est réversible, c’est à dire qu’il fond lorsqu’il chauffe au delà d’une température dite point de fusion. Cette propriété est tout à fait intéressante quand on recherche une fusion en bouche d’autant plus que le point de fusion se situe entre 27 et 35°C selon les conditions. Ainsi, plus le temps de maturation, la concentration en gélatine ou encore le degré bloom de la gélatine sont élevés, plus le point de fusion est élevé.
Où trouver un bon cours de physique ?
Variations lors de la gélification
Cependant, la concentration massique en gélatine dans une solution doit être supérieure à 0,8% pour qu’il y ait gélification. On a pu établir un tableau présentant le bloom en fonction de cette concentration
- De plus, la durée de gélification modifie la quantité de gel.
- Le pH et la température avant gélification : plus le pH est bas et la température élevée, plus faible est le gel formé.
- Par contre, une fois formé, le gel est peu sensible à l’acidité.
- La présence de solutés peut faire varier le bloom : le sel le diminue légèrement alors que la présence de sucre l’augmente.
Progrès sur la gélification : exemple du xanthane
Ce serait trop facile de pouvoir gélifier seulement avec de la gélatine. Interviennent alors les hydrocolloïdes, de structure quasi égale aux colloïdes, mais dont la substance qui contient les particules est essentiellement composée d’eau. Toutes les hydrocolloïdes sont bonnes pour gélifier, mais la plus largement répandue, le xanthane, sera l’objet de cette troisième partie.
Où trouver un prof physique chimie ?
Présentation du xanthane

Le xanthane, de numéro E415, découvert grâce aux travaux de Allene Jeanes, ne gélifie pas. Ce n’est que lorsqu’il est en présence de gélatine qu’il permet un contrôle du bloom. C’est pourquoi il est de plus en plus utilisé dans les cuisines des amateurs et des chefs reconnus. Bien que largement plus utilisé en tant qu’émulsifiant ou stabiliseur d’émulsions, ses propriétés pour former un gel couplé gélatine/xanthane sont très intéressantes.
Le xanthane est de texture longue (il file) mais est intéressant car il reforme des sortes de gel au repos alors qu'il est facile à verser même associé à des mélanges complexes : c'est pourquoi on l'apprécie dans les sauces (pour frites, les mayonnaises et les vinaigrettes) où il n'apporte en plus aucune calorie.
A l’intérieur du xanthane



La molécule de xanthane présente deux parties : à l’intérieur, une molécule de glucane, et plusieurs chaînes extérieures.
Le glucane est une molécule particulière de polysaccharide. La molécule de polysaccharide est composée de plusieurs molécules de monosaccharides, attachées par des liaisons osidiques, liaison covalente particulière en somme. Cette liaison se forme lorsque deux sucres se rencontrent, en perdant une molécule d’eau. Cette réaction est appelée réaction de condensation.

Formule chimique développée d’un polysaccharide : la molécule de cellulose
La formation de la liaison produit de l'eau, qu’on ne retrouve pas dans la formule générale d’un polysaccharide Cn(H2O)n-1, d’où la présence du (n-1)
Cette structure principale est entourée de plusieurs chaînes, qui permettent notamment la stabilité du xanthane dans un milieu acide, alcalin ou riche en enzymes.
Retrouvez tous nos cours de physique chimie seconde.
Interactions entre gélatine et hydrocolloïdes
En cours de physique seconde, comme dit précedemment, le xanthane permet d’épaissir, mais pas de gélifier sans gélatine. Les interactions entre la gélatine et les hydrocolloïdes peuvent être de plusieurs types.
Covalentes
On assiste alors à la formation de gels stables mais ce type d’interaction est peu rencontré dans la pratique.
Électrostatiques
Il peut se former des liaisons électrostatiques entre les charges positives de la gélatine et les charges négatives d’autres hydrocolloïdes.
Ce type d'interaction n’est en fait intéressant que pour les gélatines de type B à un pH supérieur au point isoélectrique (qui correspond au pH d'une solution aqueuse dans laquelle un solide existe sous un potentiel électrique neutre) (soit > 5,2).
Les gélatines B sont celles qui ont étés produites par l'hydrolyse de peaux de bovin dans un milieu alcalin, donc basique, contrairement aux gélatines de type A, réalisées par une hydrolyse en milieu acide, qui sont moins trouvées dans le commerce.
On obtient alors des gels mixtes gélatines / hydrocolloïdes et il devient possible de jouer sur la texture et/ou la vitesse de gélification.
Utilisation du xanthane
Vendu sous forme de gomme, le xanthane épaissit rapidement les solutions (eau, lait) à très faible dose (1 à 3g par litre). D'un poids moléculaire élevé il est non ionique, très avide d'eau formant ainsi des solutions colloïdales très stables. Il a un effet liant très fort mais avec peu d'énergie il redevient très coulant et lubrifiant. Il peut être employé comme substitut d'œuf (liant et en partie pour l'effet émulsifiant). A quelques grammes dilués dans de l'eau froide (ou un sirop, un coulis de fruits ou de légumes), il épaissit à froid et retient toute l'eau disponible en une " gelée ".
Lorsqu'il est chauffé, il donne moins de texture. Il peut augmenter la viscosité de la pâte à pain ou à brioche et donc améliorer l'alvéolage et le moelleux en retenant de l'eau. Il empêche l'amidon de cristalliser dans les pains et l'eau dans les glaces (0,2g/l). En agissant sur l'amidon il réduit le rassissement et augmente la durée d'emploi des pâtisseries et pains.
Il est peu sensible aux variations de températures et aux variations de pH du milieu. Son pH est de 6 à 8 mesuré en solution aqueuse à 1 %
Pour les cuisiniers avides de précision, le xanthane permet notamment de jouer sur le bloom, afin de donner au gel la force voulue.
Conclusion
Nous aimons tous croquer dans un crocodile rouge fluorescent ou créer une émulsion de chocolat si notre réfrégirateur est en manque d’oeufs. Et maintenant vous savez pourquoi. Une texture si appétissante, entre liquide et solide, pleine de molécules barbares telles que le tropocollagène, structure de la gélatine, les micelles, ciment de la gélatine, ou même la pectine, stockage de la gélatine, qui libère ses arômes au contact du palais. Couplées aux propriétés pratiques de la gélatine, telles que la fonte en bouche, les hydrocolloïdes assurent la formation du gel parfait, celui qui enverra une réception de convives au septième ciel ! Mais il reste tant à faire, l’art de cuisiner en chimie, ou de faire de la chimie en cuisinant, étant si récent que toutes ses possibilités restent à découvrir.
Quelques exercices
La confiture
"Une confiture doit être prise ; les fruits, cuits avec du sucre et parfois du citron, formant une pâte suffisamment épaisse.
C'est la pectine des fruits, longue chaîne moléculaire de la famille des glucides, qui est la principale responsable de cette prise. Lors de la cuisson de la confiture, les fruits se disloquent, libérant la pectine qui passe dans le jus sucré. En refroidissant, les molécules de pectine forment un réseau en s'accrochant les unes aux autres par des liaisons appelées liaisons hydrogène. Celles-ci se font entre des fonctions dites acides et alcooliques qui jalonnent la molécule de pectine, fonctions qui doivent rester libres et intactes pour ne pas entraver la formation de ce réseau. Or l'eau, qui se lie volontiers à ces fonctions, risque de prendre la place. Ainsi du sucre qui capte l'eau en excès est ajouté. De plus, du jus de citron évite que les fonctions acides de la pectine ne se dissocient."

"Ajouté à un kilo de fruits, le jus d'un petit citron suffira à donner l'acidité nécessaire pour que la pectine réagisse. (...) Le jus de citron permet en outre d'éviter l'oxydation des fruits quand on les coupe et de leur conserver une belle couleur, notamment les fruits jaunes qui changent très facilement de teinte."
Données :
- La pectine est une longue molécule comportant des groupements acide -COOH et alcool. On la notera simplement en ne mettant en évidence qu'un groupement acide : RCOOH.
- Le jus de citron contient entre autres acides, de l'acide citrique (à la concentration d'environ 0,40 mol.L-1) et de l'acide ascorbique, à une concentration moindre.
- L'acide ascorbique, ou vitamine C, (C6H8O6) peut donner lieu à la demi-équation électronique suivante :
C6H8O6 = C6H6O6 + 2 H+ + 2 e–
Les parties I, II et III sont indépendantes.
I – Formation du gel
1 – Le groupe d'atomes caractéristiques de la fonction acide est -COOH.
Quel est le groupe d'atomes caractéristiques de la fonction alcool ?
2 – a – L'eau se « lie volontiers à ces fonctions. » Écrire l'équation de la réaction de la pectine (RCOOH) avec l'eau.
b – Le pKa du couple RCOOH/RCOO– est égal à 3,2. Placer sans justifier sur un axe de pH les domaines de prédominance des formes acide et basique de la pectine.
c – Utiliser le diagramme précédent pour commenter la phrase : « le jus d'un petit citron suffira à donner l'acidité nécessaire pour que la pectine réagisse. »
II – Conservation des fruits
1 - À partir des documents proposés, pourquoi peut-on dire que l'acide ascorbique est un
anti-oxydant ?
2 - Quel autre mot peut-on utiliser plutôt que « anti-oxydant » à propos de l'acide
ascorbique ? Justifier.
III – Teneur en acide ascorbique d'un jus de citron
Un petit citron permet d'obtenir 6,2 mL de jus filtré. Ce jus est introduit dans une fiole jaugée de 100,0 mL que l'on complète avec de l'eau déminéralisée. On obtient 100,0 mL de solution S.
On prélève alors un volume V1 = 20,0 mL de solution S que l'on introduit dans un erlenmeyer. On ajoute un volume V2 = 20,0 mL de solution de diiode de concentration C2 = 2,00 ´ 10-3 mol.L-1 .
La couleur initiale brune du mélange réactionnel s'éclaircit peu à peu, mais ne disparaît pas.
L'équation de la réaction totale qui se produit est :
C6H8O6 + I2 = C6H6O6 + 2 I– + 2 H+ (1)
1 – a – Que peut-on déduire de l'observation de l'évolution de la couleur du mélange réactionnel ?
b – Quel est l'inconvénient rencontré si on utilise la réaction (1) pour doser l'acide ascorbique ?
L'excès de diiode est alors titré par une solution de thiosulfate de sodium de concentration C3 = 5,00 ´ 10–3 mol.L-1, en présence d'empois d'amidon. Il faut ajouter V3 = 14,5 mL de solution de thiosulfate de sodium pour obtenir la décoloration complète du milieu réactionnel.
L'équation de la réaction qui se produit est : 2 S2O32- + I2 = S4O62- + 2 l- (2)
2 – En utilisant le tableau d'avancement n°1 fourni dans l'ANNEXE À RENDRE AVEC LA COPIE, déterminer la quantité n de diiode ayant réagi avec les ions thiosulfate.
3 – Compléter les cases du tableau d'avancement n°2 fourni dans l'annexe, repérées par le signe * pour déterminer la quantité n1 d'acide ascorbique initialement présente dans l'erlenmeyer. Justifier les calculs sur la copie.
4 – Calculer la concentration de l'acide ascorbique dans le jus de citron testé.
Tableau d'avancement n°1 :
| Équation chimique | 2 S2O32- | + I2 | !ERROR! unexpected operator '/' | + 2 l– | |
|---|---|---|---|---|---|
| État du système | Avancement (mol) | Quantités de matière (mol) | |||
| État initial | X = 0 | ||||
| État intermédiaire | X | ||||
| À l'équivalence | X | ||||
Tableau d'avancement n°2 :
| Équation chimique | C6H8O6 | + I2 | !ERROR! unexpected operator '/' | + 2 l– | + 2 H+ | |
|---|---|---|---|---|---|---|
| État du système | Avancement (mol) | Quantités de matière (mol) | ||||
| État initial | X = 0 | |||||
| État intermédiaire | X | |||||
| À l'équivalence | X | |||||
Les cosmétiques
Les cosmétiques sont des produits d'hygiène et d'embellissement du corps humain. Ils sont de plus en plus nombreux dans nos salles de bain. On classe dans les cosmétiques, les produits de soin, de maquillage, de rasage, les produits capillaires, solaires, les parfums... Un cosmétique contient plusieurs ingrédients dont un ou plusieurs principes actifs, un excipient et des additifs. L'emballage d'un produit cosmétique doit comporter la liste complète de ses ingrédients.
Dans cet exercice, on se propose d'étudier quelques composants des produits cosmétiques.
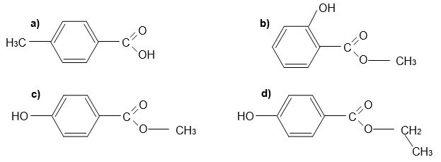
1.Les parabènes
Les parabènes (paraben en anglais) sont des conservateurs utilisés dans l'industrie cosmétique pour empêcher la prolifération des bactéries et des champignons. On les trouve dans bon nombre de produits de beauté : shampoings, gels douches, crèmes hydratantes... Les parabènes les plus courants sont :
le méthylparaben, l'éthylparaben, le propylparaben et le butylparaben.
La formule semi-développée du propylparaben ou parahydroxybenzoate de propyle est :

Nommer les groupes caractéristiques (a) et (b) encadrés dans cette molécule.
Le propylparaben peut être synthétisé à partir de deux réactifs, le réactif n°1 et le réactif n°2.
Le réactif n°1 est l'acide para-hydroxybenzoïque.
Écrire sa formule semi-développée.
Quel est le nom du réactif n°2 ? Écrire sa formule semi-développée.
Parmi les quatre molécules suivantes a, b, c, d, identifier le méthylparaben.

2.Préparation d'un ester utilisé en parfumerie
Un professeur décide de faire synthétiser à ses élèves de terminale un ester utilisé en parfumerie. Chaque binôme dispose d'un flacon A contenant un acide carboxylique noté R – COOH et d'un flacon B portant l'étiquette alcool benzylique ; C6H5 – CH2 – OH. Le professeur indique que l'acide carboxylique utilisé est soit l'acide méthanoïque, soit l'acide éthanoïque, soit l'acide propanoïque.
2.1.Recherche de l'acide carboxylique utilisé.
Chaque binôme dispose d'une solution S obtenue en dissolvant une masse m = 0,90 g d'acide carboxylique A dans une fiole jaugée de 1000 mL. Les élèves placent dans un becher un volume VA = 10,0 mL de solution S. Ils placent dans une burette graduée une solution aqueuse d'hydroxyde de sodium (Na+(aq) + HO– (aq)) de concentration molaire en soluté apporté CB = 1,0 x 10–2 mol.L-1 et ils réalisent un dosage pH-métrique. La courbe obtenue figure en ANNEXE À RENDRE AVEC LA COPIE.
2.1.1. Écrire l'équation de la réaction support du dosage.
2.1.2. Déterminer le volume équivalent VE de ce dosage en expliquant votre méthode.
2.1.3. Calculer la concentration molaire en soluté apporté CA de la solution S.
2.1.4. Calculer la masse molaire de l'acide carboxylique utilisé pour réaliser la solution S et en déduire le nom de l'acide carboxylique A.
2.2. Synthèse de l'ester
On introduit dans un ballon 28,4 mL d'alcool benzylique correspondant à une quantité de matière n = 2,0 x 10–1 mol, 11,4 mL d'acide carboxylique pour réaliser un mélange stoechiométrique, 1 mL d'acide sulfurique concentré et quelques grains de pierre ponce. On réalise le montage schématisé ci-contre et on chauffe à ébullition douce pendant une heure.
2.2.1. Écrire, avec les formules semi-développées, l'équation de la réaction correspondant à la préparation de l'ester.
2.2.2. Quelles sont les caractéristiques de cette réaction ?
2.2.3. Pourquoi ajoute-t-on de l'acide sulfurique concentré dans le milieu réactionnel ?
2.2.4. Comment se nomme le montage ci-contre ? Quel est son rôle ?

2.3. Extraction de l'ester préparé
Au bout d'une heure, on refroidit le mélange réactionnel et on y ajoute 50 mL d'une solution aqueuse de chlorure de sodium de masse volumique r = 1,20 g.mL–1. On verse le contenu du ballon dans une ampoule à décanter. On agite et on laisse décanter.
2.3.1. Dans quelle phase se situe l’ester ? Faire un schéma légendé de l'ampoule à décanter en justifiant la position des phases.
On élimine la phase aqueuse. On ajoute dans l'ampoule à décanter 50 mL d'une solution aqueuse d'hydrogénocarbonate de sodium (Na+(aq) + HCO3– (aq)), il se produit un dégagement gazeux. On laisse décanter et on évacue la phase aqueuse. On rince à nouveau la phase organique à l'eau distillée. Après décantation, on recueille la phase organique dans un becher et on la sèche avec du sulfate de magnésium anhydre.
2.3.2. On obtient 1,3 x 10–1 mol d'ester.
Calculer le rendement de cette synthèse.
2.3.3. Comment améliorer le rendement, sans changer la nature des réactifs ?
2.3.4. Comment améliorer le rendement, en changeant l'un des réactifs ?
Données :
| Acide méthanoïque H – COOH | Acide éthanoïque CH3 – COOH | Acide propanoïque CH3 – CH2 – COOH | |
|---|---|---|---|
| Masse molaire M (g.mol-1) | 46 | 60 | 74 |
| Acide carboxylique A | Alcool benzylique | Ester | Eau | |
|---|---|---|---|---|
| Masse volumique p (g.mL–1) | 1,05 | 1,04 | 1,06 | 1,00 |
| Température d’ébullition (°C) | 118 | 205 | 215 | 100 |
| Solubilité dans l’eau salée | Très bonne | Très faible | Très faible | - |
Annexe à rendre avec la copie :

Résumer avec l'IA :



















Si vous désirez une aide personnalisée, contactez dès maintenant l’un de nos professeurs !
Bonjour
J’aimerais avoir de l’info pour fabriquer un bloc de gélatine
Merci beaucoup
Un grand merci pour vos explications. Je suis un papy artiste de 75 ans avec plein de maladies et je me soigne avec les jeûnes. certaines sont éradiquées comme mon hypertention et d’autres toujours en place , Artérosclérose par exemple. Je me fais toujours des bouillons d’os pour mes reprises alimentaire. Je fais ça depuis trois ans. J’utilise une cocotte minute pour faire cuire mes os à basse température pendant 2 voir 3 jours de suite. Je chauffe à 65/70C° et je met la cocotte dans ma marmite Norvégienne custom. Je réchauffe 3 et 4 fois par 24 H. j’ai toujours eu bon résultat. 3Kg de gelée pour une cocotte de 5l. Je rajoute 1/2 yaourt de vinaigre de cidre. j’ai mème réussie à refaire une 2ème cuisson avec les mèmes os et changer l’eau. La gelée obtenue est moins concentrée, mais c’est de la gelée. Problème, mes deux dernières fabrication de bouillon d’os. Je n’arrive pas à avoir de gelée ?? J’utilise des restes dos que je garde au congélateur, des têtes de poisson, du cartilage d’ailes de rais, des pieds de porcs coupé en deux, oreilles de porc etc. Comprend pas ce qui merde ?? je suis à 7 en PH urinaire de bandelette. C’est bien ou pas ?? Bien à vous; Patrick Dupré » Montpellier
Bonjour. Je viens d’acquérir une chambre photographique Derogy datant du siècle passé. En lisant votre article, j’en ai bien compris le fonctionnement théorique… Mais je ne trouve pas le déclencheur. Pouvez-vous m’aider ?
Bonjour ! Oui, il vous faut un déclencheur, généralement un déclencheur souple, qui va vous permettre de prendre la photo. Il est probable qu’il ne soit pas avec votre chambre photographique, l’âge aidant !
MERCIIIII!!!!!!! ^^