Chapitres
- 01. Unité et notation
- 02. Charge électrique des principales particules
- 03. Signe des charges électriques
- 04. Constitution d’un atome
- 05. Charge électrique élémentaire
- 06. Neutralité électrique
- 07. Forces d’interaction
- 08. Interaction entre charges électriques statiques
- 09. Interaction entre charges électriques en mouvement
- 10. Champ électrique d'une charge
- 11. Charge soumise à un champ électrique
- 12. Les dipôles électriques
Unité et notation
La charge électrique est une grandeur qui se note avec la lettre q (parfois en majuscule Q). Son unité est le Coulomb, de symbole C, choisie en hommage au physicien français Charles Coulomb (1736 – 1806) qui consacra une partie de ses recherches à l'étude de l'électrostatique et aux interactions entre charges électriques. Comme toutes les unités, le coulomb peut être décliné en sous-unités (décicoulomb, centicoulomb, millicoulomb, etc.) ou en unités multiples (décacoulomb, hectocoulomb, kilocoulomb, etc.), qu'il est possible de convertir en utilisant les méthodes habituelles (tableau de conversion ou association des préfixes à des puissances de dix). Voir fiche dictionnaire-encyclopédie "Conversion d'unités".
Charge électrique des principales particules
| Electron | Proton | Neutron | Atome | Molécule | Cation | Anion | Neutrino |
|---|---|---|---|---|---|---|---|
| -e | +e | 0 | 0 | 0 | positive de +e à +4e | négative de -e à -4e | 0 |
| -1,60 x 10^(-19) C | +1,60 x 10^(-19) C | 0 | 0 | 0 | de -1,60 x 10^(-19) C à -6,40 x 10^(-19) C | de +1,60 x 10^(-19) C à +6,40 x 10^(-19) C | 0 |
Signe des charges électriques
Il existe deux sortes de charges électriques de natures différentes :
- l'une est associée au signe positif (+)
- et l'autre au signe négatif (-).
Le signe des charges électriques détermine le type d'interaction qui s'établit entre elles (attractive ou répulsive).
Constitution d’un atome
Généralités sur l’atome
Toute matière est constituée d’un ou d’un ensemble d’atomes, semblables à des sphères d’un diamètre de 10-10 m et pouvant s’assembler pour former des molécules. Un atome est constitué de particules atomiques, réparties au sein d’un noyau, chargé positivement, et d’un nuage d’électrons chargés négativement. Au sein de ce noyau, on peut retrouver des neutrons, qui ne portent pas de charge nette, et des protons, portant une charge nette positive. Ces deux types de particules sont plus généralement nommés des nucléons. Les électrons sont caractérisés par des masses faibles et une charge électrique négative, égale à la charge élémentaire. Les protons sont environ 2000 fois plus lourds que les électrons, et possèdent une charge positive égale à celle de l’électron. Enfin, les neutrons possèdent une masse légèrement plus élevée que le proton, mais ne possèdent pas de charge.
| Proton | Neutron | Électron | |
|---|---|---|---|
| Masse (kg) | 1,673 x 10^(-27) | 1,675 x 10^(-27) | 9,1 x 10^(-31) |
| Charge électrique (C) | 1,602 x 10^(-19) = +e | 0 | -1,602 x 10^(-19) = -e |
Caractérisation d’une espèce chimique
Une espèce chimique est caractérisée essentiellement par son noyau. En effet, un nucléide est une espèce de noyau caractérisée par :
- Son nombre de masse A (= nombre de nucléons)
- Son numéro atomique Z (= nombre de protons)
- Son nombre de neutrons N = A – Z
- Son état d’énergie (stable ou instable)
Au sein du tableau périodique des éléments de Mendeleïev, les éléments sont classés selon leur numéro atomique Z. Une espèce particulière de nucléide peut avoir plusieurs isotopes : son numéro atomique Z sera alors constant, mais un nombre de neutrons N variable. Une modification du nombre de protons au sein de l’atome modifie l’espèce chimique à laquelle il appartient, alors qu’une modification du nombre d’électrons ne modifie que la charge globale de l’atome, le transformant alors en cation ou en anion.
Notion de particules élémentaires
Les 12 particules élémentaires de la matière présentes dans l’Univers sont classées en deux familles, les leptons et les quarks, chacune constituée de 6 particules :
| Leptons | Quarks | ||
|---|---|---|---|
| Électron charge -e | Neutrino de l’électron charge 0 | Up (u) Charge (+2/3)e | Down (d) Charge (-1/3)e |
| muon | Neutrino du muon | charm | strange |
| tau | Neutrino du tau | top | bottom |
- Le neutron est constitué d’un up et de deux downs (u+d+d)
- Le proton est constitué de deux ups et un down (= u+u+d)
Charge électrique élémentaire
La charge électrique élémentaire (notée e) est censée être la plus petite valeur de charge électrique existante. Cette constante physique élémentaire, mesurable à l’aide d’un électromètre, correspond à la charge électrique portée par les protons, et elle vaut :
Toute charge électrique q est un multiple de la charge élémentaire :
Remarque : les quarks, particules élémentaires constitutives des nucléons, n'obéissent pas à cette règle et possèdent des charges qui sont des multiples du tiers de la charge élémentaire. Les particules chargées conservent leur charge q quel que soit leur vitesse. La charge est donc un invariant de la théorie de la relativité.
Neutralité électrique
À l'échelle macroscopique, la plupart des matières (solides ioniques, solides moléculaires, solutions aqueuses, gaz, etc.) sont électriquement neutres. Cela ne signifie pas qu'il y a absence totale de charges électriques, mais que celles-ci se compensent : la somme des charges négatives est égale, en valeur absolue, à la somme des charges positives. À l’échelle de l’atome, ceci explique qu’il y ait autant d’électrons que de protons dans un atome.
Forces d’interaction
Toute particule de matière interagit avec d’autres particules sous l’effet de 4 forces d’interaction.
| Force | Couplage | Transmission par | Portée et intensité |
|---|---|---|---|
| gravitationnelle | Assure le couplage des masses | ? | Portée illimitée Intensité = 1 |
| électromagnétique | Assure le couplage des charges électriques | photons | Portée illimitée Intensité = 10^36 |
| nucléaire forte | Assure le couplage des quarks (cohésion du noyau) | gluons | Portée : 10^(-14) Intensité = 10^38 |
| nucléaire faible | Assure la cohérence des nucléons | bosons | Portée : 10^(-17) Intensité = 10^32 |
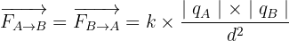
Interaction entre charges électriques statiques
Les interactions entre deux corps chargés électriquement sont causées et contrôlées par l’interaction électromagnétique. Le sens de l'interaction électrique dépend du signe des charges qui interagissent : elle est répulsive pour des charges de même signe (les deux corps vont donc se repousser), ou attractive pour des charges de signes opposés (les deux corps vont alors s’attirer).
De manière relativement similaire, c’est ce que l’on peut observer lorsque l’on approche deux aimants l’un de l’autre : la réaction sera différente selon les pôles des aimants que l’on rapproche.
Soit deux corps ponctuels A et B possédant chacun une charge électrique respective qA et qB, et séparés par une distance d. Ces deux corps exercent l’un sur l’autre des forces FA→B et FB→A de même direction, de sens opposés et de même valeur.

La valeur de l'interaction est donnée par la loi des interactions électriques, également appelée loi de Coulomb :
Les unités sont les suivantes :
- Les forces sont exprimées en newtons (N)
- Les charges qA et qB sont exprimées en coulombs (C)
- La distance d est exprimée en mètres (m)
- La constante k, aussi appelée constante de Coulomb, est définie à partir de la permittivité du vide et est égale à 9,0 x 109m2.C-2
Voir fiche de cours "L'univers et les interactions".
Interaction entre charges électriques en mouvement
Lorsque des charges sont en mouvement, elles produisent un champ magnétique à l'origine d'une force magnétique supplémentaire qui vient s'ajouter à la force de Coulomb : c’est la force de Lorentz. Cette force fait intervenir le champ électromagnétique. La résultante de la force de Coulomb et de la force de Lorentz est appelée la force électromagnétique, et c’est cette résultante qui permet la cohésion de l’atome, dont les particules sont en perpétuel mouvement.
Champ électrique d'une charge
Toute charge électrique crée dans l'espace qui l'entoure un champ électrique E, qui traduit l'action que subirait une hypothétique autre charge située dans cet espace. Une charge ponctuelle q située en point A créé ainsi en un point B de l'espace un champ E :
- dont la direction est celle de la droite (AB)
- orienté dans le sens [AB] si la charge est positive, dans le sens [BA] si la charge est négative
- de valeur égale à :


Dans le cas d'une répartition de charge en surface ou en volume, le champ électrique créé sera la résultante vectorielle des champs crées individuellement par chaque charge : il prend alors une orientation et une valeur qui dépend de la répartition des charges.
Charge soumise à un champ électrique
Par définition, toute charge électrique q situé en un point de l'espace où règne un champ électrique E est soumis à une force électrique 
Les dipôles électriques
Un dipôle résulte de l'association d'une charge positive et d'une charge négative égales en valeurs absolues, mais avec des répartitions respectives dont les centres ne coïncident pas. Il y a une neutralité électrique globale et les charges se compensent mais localement, à proximité des charges, il existe un champ électrique qui permet à ce dipôle de participer à des interactions électriques. Ces dipôles sont caractérisés par leur moment dipolaire. Voir aussi :
- Cours "L'univers et les interaction"
- Cours "Le champ électrique"
- Fiche dictionnaire-encyclopédie "Conversion d'unité"
Résumer avec l'IA :



















Si vous désirez une aide personnalisée, contactez dès maintenant l’un de nos professeurs !
Quelle relations existe entre la charge électrique, la charge élémentaire et le nombre de proton
Bonjour, pour un soutien sur mesure qui correspond à vos besoins, pensez à consulter nos enseignants sur Superprof. Belle journée à vous ! :)
Pourquoi définit-t-on le coulomb comme la quantité d’électricité nécessaire pour déposer 1.118 milligrammes d’argent à la cathode d’un voltamètre à azote d’argent? On aurait pu s’arrêter à 1 milligramme et dire que 1 coulomb = 1.000 milligramme d’argent déposé à la cathode. Comment a-t-on fait pour trouver 1.118 ?
quel est le signe de la charge électrique portée par le noyaux?
merci
bonjour, je souhaiterai savoir si il est possible avec un appareil simple et peu couteux ; de connaitre le type de charge electro statique d’une boue; + – et valeur electrique; rapport a quelques interet colloidale de boue….merci
bonjour si f= k×q^2/r^2 (k×(q)2÷(r)2)
q =?
Bonjour je cherche la formule de la distance des Q et défini en toute lettre merci
Que représente q,n et e dans la relation q=n.e
Je suppose que ça dois être neutron non?