Les filtres actifs sont constitués de résistances, de condensateurs et d’éléments actifs tels que des amplificateurs opérationnels. Ils sont peu coûteux à produire, ce qui les rends moins chers mais aussi peu encombrants. Cependant, les composants actifs ne fonctionnent que sur les basses fréquences. Cela a pour inconvénients de créer un bruit et de limiter la tension maximale possible à filtrer.
Pour créer un filtre actif, on monte en série des résistances et condensateurs.
Les premiers filtres ont été créés dans les années 1960, il s'agissait de filtres RCAO, pour Résistance, Condensateur et Amplificateur Opérationnel. Mais il s'est démocratisé seulement dans les années 1970, avec l'arrivée des circuits intégrés commerciaux de filtres actifs.
Les voitures sont des bons exemples pour comprendre les filtres passe hauts et passe bas. Pour cause, les hauts parleurs de voitures sont souvent éclatés : un tweeter, un medium et un subwoofer. Cependant, l'autoradio ne dispose que d'une sortie son. Afin de ne pas polluer un haut-parleur avec une fréquence qu'il ne doit pas rendre (des graves pour un tweeter par exemple), les filtres permettent de bloquer certaines fréquences non appropriées.
Les condensateurs
Un condensateur est un composant en électronique qui a la capacité de stocker de l'énergie électrique. Il stocke cette électricité en fonction de la tension qu'il reçoit et ce de manière proportionnelle.
Selon sa capacité, un condensateur reçoit un marquage signifiant sa valeur.
La plupart du temps, le marquage respecte le schéma suivant XXY dans lequel la partie XX correspond à la valeur et Y à la puissance de 10 en picofarads de symbole pF. Par exemple 122 correspondra à 12 x 102 pF.
Il peut aussi arrivé que l'on voit juste une valeur à deux chiffres. Il s'agit dans ce cas d'un marquage d'une valeur en microfarads de symbole µF.
Pour finir, quand les condensateurs sont assez gros et laissent la place pour une inscription complète, on retrouve la valeur ainsi que son unité directement marqués sur le condensateur en question.
Pour modéliser un condensateur, il faut décrire certaines de ses caractéristiques à savoir la résistance, l'inductance, la valeur de la capacité et parfois l'effet de batterie ou encore l'hystérésis de charge du condensateur.
Résistance
La résistance désigne la capacité physique d'un matériau à s'opposerau passage d'un courant électrique sous une certaine tension. C'est de là que sont nés les composants électriques appelés les résistances.
Une résistance est habituellement représentée par un rectangle et se note R, K ou M selon sa capacité. R représente les ohms, K les kiloohms et pour finir, M les Megohms.
Un code couleur est appliqué sur les résistances afin de connaître leur valeur.
Une résistance peut-être composée de divers matériaux selon qu'elle soit de faible ou haute puissance.
Par exemple, les résistances de moins de 2 W sont constituées de carbone et de céramique. Ce type de résistance a pour avantage de générer très peu de bruit thermique, ce qui en fait un élément de choix dans les circuits audio.
Les résistances faites pour supporter des puissances supérieures seront quand à elles fabriquées à l'aide d'un cylindre de céramique sur lequel sera enroulé un fil conducteur.
Pour finir, les résistances à très hautes puissance sont constituées de solution aqueuse contenant des ions cuivre et qui ralentissent grandement le passage du courant électrique.
Les résistances ont aussi une place de choix dans les filtres audio. Leur prix dépendra de leur qualité et de leur efficacité : étroitement liés aux composants utilisés.
Les filtres passe haut et passe bas
En acoustique, on utilise les filtres afin de privilégier le passage de certaines fréquences dans des hauts parleurs ou des amplificateurs. On distingue deux types de filtres : les filtres passe haut et passe bas.
Le filtre passe haut aura pour fonction de traiter le signal pour ne laisser passer que les hautes fréquences tandis que les filtres passe bas auront pour but de ne laisser passer que les basses fréquences. Quand ils sont analogiques, ces filtres se présentent sous la forme de résistances, qui permettent de limiter le passage du courant.
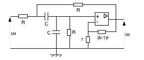
Les filtres de Sallen et Key
Le filtre de Sallen et Key est un type de filtre actif de second ordre. Se présentant sous la forme d'une cellule, cette dernière existe pour les filtres passe haut et passe bas.
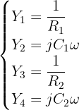
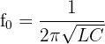
Calculs
Le fonctionnement des cellules de Sallen et Key peuvent s'exprimer sous ces formules :
Filtre passe bas :
Avec :
Le diagramme de Bode
Le diagramme de Bode est un diagramme qui permet de représenter la réponse en fréquence d'un système.
Sur le diagramme, on retrouve deux courbes : la première, représente le gain en décibels ; la seconde représente la phase en degrés.
Voici un exemple de diagramme de Bode. Il représente ici un filtre passe bas d'ordre 1.
Exercices
Exercice 1 : Diagramme de Bode
Tracer le diagramme de Bode de cette installation.
Exercice 2 : Les filtres pour enceintes
Une enceinte pour chaîne hi-fi est composée de plusieurs haut-parleurs : le plus petit émet les sons les plus aigus et le plus gros émet les sons les plus graves. Il est donc nécessaire de ne pas les alimenter de la même manière ce qui est réalisé à l'aide d'un montage électrique constitué de condensateurs et de bobines et appelé filtre.
Les enceintes sont composés de membranes vibrantes, d'aimants et de résistances.
Condensateurs et bobines sont des composants incontournables en électricité. Nous allons voir comment déterminer leurs caractéristiques à partir du montage ci-dessous comprenant :
Un générateur de tension constante continue E = 12 V ;
Une résistance R = 100 W ;
Un interrupteur K à trois points ;
Un condensateur de capacité C ;
Une bobine d'inductance L et de résistance r.
Aide au calcul : 0,37 x 12 ≈ 4,4 ; 0,63 x 12 ≈ 7,6 ; p = 3,14 ≈ 3 ; p2 ≈ 10
I- Charge du condensateur
Le condensateur étant déchargé, on place à t = 0, l'interrupteur K en position 1. Un système d'acquisition permet d'enregistrer les graphes des tensions E et uc en fonction du temps. On obtient les courbes I, fournies en annexe à rendre avec la copie.
1. Indiquer sur le schéma du montage fourni en annexe à rendre avec la copie, les branchements du système d'acquisition (analogue à un oscilloscope à mémoire) pour visualiser, sur la voie A, la tension E aux bornes du générateur et, sur la voie B, la tension uC aux bornes du condensateur.
2. L'expression en fonction du temps de la tension uC aux bornes du condensateur est : uC = U [1 - exp (-t/t)] où U et t sont des constantes non nulles.
Déterminer graphiquement U.
Que représente τ pour la charge d'un condensateur ? Nommer τ.
Déterminer graphiquement la valeur de τ. La méthode utilisée doit être visible sur les courbes I.
3. Évolution de uc
Établir l'équation différentielle régissant l'évolution de la tension uc aux bornes du condensateur lors de sa charge.
Montrer que uC = U [1 - exp (-t/τ)] est bien une solution de cette équation différentielle et exprimer U et t en fonction des grandeurs caractéristiques du montage.
3.3. Vérifier la dimension de τ par une analyse dimensionnelle.
II- Décharge du condensateur dans une bobine
Le condensateur étant chargé, on bascule l'interrupteur en position 2 ; cet instant sera pris comme nouvelle origine des dates.
De la même façon on enregistre l'évolution de la tension uC aux bornes du condensateur et on obtient la courbe II fournie en annexe à rendre avec la copie.
On prendra C = 10 mF.
1. Quelle est la nature du phénomène observé ?
2.Temps caractéristique
2.1. Nommer le temps caractéristique du phénomène observé puis le déterminer. La méthode utilisée doit être visible sur la courbe.
2.2. Donner l'expression de ce temps en fonction des éléments du montage.
3. En déduire la valeur de l'inductance de la bobine.
4. Comment voit-on que la bobine possède une résistance non nulle ?
5. Sous quelle(s) forme(s) est stockée l'énergie totale du dipôle (L,C) à la date t = 2,0 ms ? Calculer sa valeur.
Annexes
Montage
Exercice 3 : La radio en BLU
Même si c'est un média qui tend à disparaître avec l'arrivée du numérique, la radio est encore pas mal utilisée pour sa simplicité et son coût maîtrisé.
Les communications radio en « B.L.U » (Bande Latérale Unique) sont utilisées par les radio-amateurs ainsi que pour les communications maritimes. La transmission « B.L.U » permet, pour une puissance totale donnée de l’émetteur, d’avoir une plus grande portée d’émission.
Il s’agit d’une transmission en modulation d’amplitude à laquelle on retire, avant émission, une des bandes du spectre en fréquence ainsi que la porteuse. On ne conserve ainsi qu’une seule des bandes latérales comprenant l’ensemble des fréquences à transmettre. Le signal transmis contient bien toute l’information du signal modulant.
On se propose d’étudier le principe de ce type de transmission.
PARTIE A : LA MODULATION D’AMPLITUDE
1. Nécessité d’une modulation :
1.1. Rappeler l’intervalle des fréquences audibles par l’homme.
1.2. Donner au moins une raison pour laquelle il est nécessaire de procéder à une modulation pour transmettre un signal sonore par onde hertzienne.
2. Le montage de modulation utilisé en séance de travaux pratiques est le suivant :
v(t) = Vmcos(2pft)
u(t) = Umcos(2pft) + U0
Avec :
F = 2,0 kHz ;
f = 100 Hz ;
et Um < U0.
L’expression du signal de sortie s(t) est de la forme s(t) =k.u(t).v(t) où k est un coefficient qui dépend du circuit multiplieur « X » utilisé.
2.1. Quel signal correspond à la porteuse ? Justifier.
2.2. Montrer que s(t) peut se mettre sous la forme s(t) = A(t) cos(2pFt). Justifier le nom donné à ce type de modulation.
3. Qualité de la modulation :
Le taux de modulation peut s’écrire sous la forme m =
où Amax est la valeur maximale prise par A(t) et Amin sa valeur minimale.
3.1. Quelle condition doit satisfaire m pour pouvoir effectuer une démodulation correcte par détection d’enveloppe ?
3.2. Déterminer la valeur du taux de modulation m en utilisant le graphe ci-dessous.
PARTIE B : L’ÉMISSION EN BANDE LATÉRALE UNIQUE
Le signal s(t) peut s’écrire sous la forme de la somme de trois fonctions sinusoïdales de fréquences respectives F – f, F et F + f.
1. Dans ce cas le spectre du signal modulé s(t) aura l’allure suivante :
Donner l’allure de ce spectre si on remplace le signal modulant par un signal plus complexe (voix, musique …) comportant plusieurs fréquences comprises entre deux valeurs fmin et fmax.
2. On utilise un filtre passe-bande pour ne conserver que la fréquence F + f (ou les fréquences équivalentes dans le cas où le signal modulant est complexe). La courbe ci-dessous donne l’allure de l’amplitude US de la tension de sortie du filtre en fonction de la fréquence f de la tension sinusoïdale u(t) d’entrée :
2.1. Justifier le nom « filtre passe-bande » donné à ce dispositif.
2.2. Le filtre est constitué à partir d’une bobine d’inductance L et d’un condensateur de capacité C. On note f0 la fréquence centrale de la bande passante du filtre.
Montrer par analyse dimensionnelle, que l’expression est exacte.
2.3. En supposant la bande passante [fc1 ; fc2] étroite, quelle valeur doit-on choisir pour f0 ?
2.4. Représenter, dans ce cas, le spectre du signal obtenu à la sortie du filtre (on supposera le signal modulé tel que défini au 1.).
3. Le signal obtenu doit être amplifié avant d’être émis. Lorsqu’on amplifie un signal (quel qu’il soit) la puissance délivrée par l’amplificateur se répartit sur l’ensemble des fréquences présentes, proportionnellement à leur amplitude.
Justifier le fait que le signal « B.L.U. » a une plus grande portée qu’un signal en modulation d’amplitude classique pour un émetteur de puissance donnée (ou qu’il nécessite un émetteur moins puissant pour une portée équivalente).
Vous avez aimé cet article ?Notez-le !
4,00 (3 note(s))
Loading...
Clément
Freelancer et pilote, j'espère atteindre la sagesse en partageant le savoir que j'ai acquis lors de mes voyages au volant de ma berline. Curieux scientifique, ma soif de découverte n'a d'égale que la durée de demie-vie du bismuth 209.
Définition des chiffres significatifs et applications Lorsqu’on écrit une mesure comme L = 1,5 cm ou L = 1,50 cm, la précision change.La première indique une mesure au millimètre près, la seconde au dixième de millimètre.Ainsi, chaque chiffre a un sens : les chiffres significatifs renseignent à la fois sur la valeur mesurée et sur la[…]
Tout savoir sur le cuivre ! Le cuivre est un élément chimique qui porte le numéro 29 dans la classification périodique des éléments. Cela signifie qu'un atome de cuivre a 29 protons dans son noyau. Il a également 29 électrons en orbite autour du noyau. Un atome est la plus petite particule de matière qui[…]
Comment résoudre les différents types d’exercices en physique-chimie ? Introduction Dans l’acquisition de l’autonomie, la résolution de problèmes est une activité intermédiaire entre l’exercice cadré, qui permet de s’exercer à de nouvelles méthodes, et la démarche par projet, pour laquelle le but à atteindre n’est pas explicite.L’étudiant doit mobiliser ses connaissances, capacités et compétences afin[…]
Quelles sont les caractéristiques et les composés du baryum (numéro atomique 56) ? Présentation de l’élément Le baryum est un élément chimique de numéro 56 dans la classification périodique, et porte le symbole Ba. Il appartient à la famille des métaux alcalino-terreux, et présente des propriétés chimiques et physiques intéressantes, ainsi qu’une toxicité non négligeable.[…]
L’atome, la radioactivité et les débuts de la science nucléaire La compréhension de l’atome, la découverte de la radioactivité et l’étude du fonctionnement nucléaire ont transformé la science, la technologie et notre vision du monde. Cet article propose un panorama complet : des premières idées de l’atome aux notions modernes de défaut de masse, énergie[…]
Le liste des atomes et leur symbole Rien n'est indifférent, rien n'est impuissant dans l'univers ; un atome peut tout dissoudre, un atome peut tout sauver !Gérard de Nerval L'atome, on en parle beaucoup, mais on n'en connaît pas toujours très bien la définition. De façon simple, on pourrait dire que l'atome est une particule[…]
Quelles sont les caractéristiques de l'yttrium (symbole Y) ? 📚 L'yttrium est un élément chimique, de symbole Y et de numéro atomique 39. Métal de transition argenté, il est utilisé principalement dans les phosphores des écrans, les lasers, et les superalliages. Découvert en 1794, il est souvent associé aux terres rares et est crucial pour[…]
Présentation de la particule élémentaire "e" Les électrons sont des particules fondamentales qui orbitent autour du noyau d'un atome. Leur principal rôle est de participer aux interactions électromagnétiques, formant ainsi des liaisons chimiques entre les atomes pour créer des molécules. ? De plus, les électrons sont essentiels au fonctionnement des dispositifs électroniques, car leur mouvement[…]
Comment se font les cycles des gaz dans le moteur ? 🔥 Le moteur Stirling est un dispositif thermodynamique fonctionnant selon le principe de la compression et de la détente cyclique d'un gaz, sans combustion interne. Il convertit l'énergie thermique en énergie mécanique, utilisant une source chaude et une source froide pour effectuer un travail[…]
30 janvier 2024∙ 8 minutes de lecture
Si vous désirez une aide personnalisée, contactez dès maintenant l’un de nos professeurs !
Si vous désirez une aide personnalisée, contactez dès maintenant l’un de nos professeurs !