Chapitres
Notion d'énergie
Lorsqu'une force appliquée sur un corps implique un mouvement de celui-ci, alors la force effectue un travail noté W. Ce travail est en réalité un transfert d'énergie. Lors de l'étude d'un mouvement d'un solide, trois types d'énergie son définis : l'énergie potentielle, l'énergie cinétique et énergie mécanique.
Ces énergie s'expriment en joules (J).
Rapide rappel sur le travail
Un travail peut être moteur ou résistant. Il a une valeur algébrique qui est positive quand le travail est moteur et négative quand le travail est résistant. Le travail d'une force peut également être nul, si celle-ci est perpendiculaire à la trajectoire.
Dans le cas de forces conservatives, le travail s'exprime par le produit scalaire du vecteur force par la distance parcourue.
Le travail d'une force s'exprime également en joules (J).
Travail et énergie potentielle

L'énergie potentielle traduit l'énergie qu'un système peu transférer sous une autre forme d'énergie, par exemple en énergie cinétique .
Lorsqu'une force est conservative, alors il est possible de lui associer une énergie potentielle Ep dont la variation correspond à l'opposé du travail de cette force. Ainsi, pour un mouvement d'un corps d'un point A à un point B : 
Il est en particulier possible de définir une énergie potentielle pour :
- Un mouvement dans le champ de pesanteur terrestre : l'énergie potentielle de pesanteur Epp s'exprime alors de la manière suivante :  
 où m est la masse du système en kilogramme (kg), g est l'intensité de la pesanteur terrestre en newton par kilogramme (N.kg-1), Z est l'altitude au point A par rapport au point B en mètre (m), ou h la hauteur en mètre (m).
 Epp(A) est l'énergie potentielle de pesanteur au point A en joule (J).
- Le mouvement d'une charge électrique dans un champ électrostatique uniforme : l'énergie potentielle électrique Epe s'exprime alors de la manière suivante :  
 où q est la valeur de la charge électrique en Coulomb ( C), VA est le potentiel électrique au point A (en volt (V)).
 Epe(A) est l'énergie potentielle électrostatique au point A en joule (J).
Travail et énergie cinétique
L'énergie cinétique est l'énergie déployée par un corps due à son mouvement par rapport à un référentiel. Le choix du référentiel conditionne donc sa valeur.
L'énergie cinétique est égale à la somme des forces induisant le mouvement du corps étudié.
Le travail d'une force (qu'elle soit conservative ou non) modifie directement l'énergie cinétique du système. Ainsi, la somme des travaux des forces auxquelles est soumis un système correspond à la variation de son énergie cinétique. Cette relation est connue sous le nom de théorème de l'énergie cinétique :  
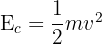
L'énergie cinétique d'après sa définition est liée à la vitesse de déplacement du corps. La relation entre l'énergie cinétique et la vitesse d'un corps en mouvement est la suivante :  
- Ec, l'énergie cinétique en J
- m, la masse en kg
- v, la vitesse en m/s
Ce théorème est souvent utilisé pour déterminer la vitesse d'un système lorsque celui-ci est soumis à une force. Il peut constituer une alternative au principe fondamental de la dynamique.
Exemple de calcul d'énergie cinétique :
Prenons deux voitures avec 5 passagers et le coffre plein, pesant 1250 kg chacune. Une est lancée à 60 km/h et l'autre, au double, c'est à dire 120 km/h. Calculons l'énergie cinétique déployée par chacune d'entre elle. A noter qu'il faut faire attention à convertir la vitesse en m/s.
 
  
 On remarque donc que l'énergie cinétique est multipliée par 4 lorsque la vitesse est multipliée par deux pour un même corps en mouvement. C'est pourquoi la violence d'un choc en cas augmente très rapidement avec la vitesse.

Travail et énergie mécanique
Par définition l'énergie mécanique d'un système est la somme de l'énergie cinétique et de l'énergie potentielle :  
Lorsqu'un système est soumis seulement à des forces conservatives alors l'énergie mécanique est constante. Dans ce cas, les variations d'énergie cinétique sont compensées par des variations d'énergie potentielle (et inversement). C'est ce que l'on peut appeler le transfert d'énergie.
Pour connaitre l'énergie mécanique d'un système, il faut déterminer sa vitesse (énergie cinétique) et sa position (énergie potentielle).
Dans beaucoup de cas, une force motrice est engendrée par une énergie potentielle qui est transférée au système en énergie cinétique :
- Le moteur d'une voiture transforme l'énergie potentielle (chimique) de l'essence pour entraîner la rotation des roues qui confère l'énergie cinétique à la voiture.
- Dans le cas d'une luge sur une piste enneigée, c'est l'énergie potentielle au point de départ qui est directement transférée en énergie cinétique, elle-même reliée à la vitesse de la luge. La vitesse de la luge dépend de l'altitude et de la pente (position) donc de l'énergie potentielle de départ.
- Dans certains cas, et c'est le cas d'un pendule libre, l'énergie potentielle au départ est transférée en énergie cinétique lorsqu'on libère celui-ci, mais lors de la remontée au coté opposé, l'énergie cinétique diminue et est à nouveau transférée en énergie potentielle avec conservation de l'énergie mécanique. L'énergie potentielle reste la force motrice au départ de chaque mouvement, cependant l'énergie cinétique permet de maintenir le mouvement par transfert d'énergie en nouvelle énergie potentielle.
Lorsqu'un système est soumis à des forces non conservatives alors la variation d'énergie mécanique est égale à la somme des travaux des forces non conservatives : 
Cas d'un pendule libre
L'étude du pendule libre est intéressante pour bien comprendre les transferts d'énergie et la relation entre l'énergie cinétique et l'énergie potentielle. Nous étudierons son mouvement par rapport à son support immobile donc appartenant au référentiel terrestre.

Un pendule libre est constitué d'un corps positionné à l'extrémité d'une corde ou d'une tige et donc les balancements ne sont dus qu'à la force du poids du corps et à la tension T de la corde lorsque celui-ci est lâché à une position différente de la position d'équilibre (position verticale). Son mouvement est périodique.
Le vecteur de la force tension T est en tout point perpendiculaire à la trajectoire. Le travail de cette force est donc nul. La seule force ayant un travail et donc une énergie mécanique non nulle est le poids.
En négligeant les forces de frottements dues à l'air, nous savons d'après sa définition que l'énergie mécanique est constante au cours du temps, car le poids est une force conservative. Par contre du fait de variations de vitesse et de position, l'énergie cinétique et l'énergie potentielle varient au cours du temps.
Comment cela est-il possible si l'énergie mécanique qui représente la somme des énergies cinétique et potentielle est constante ?
Cela est dû au transfert d'énergie, en effet, l'énergie potentielle et cinétique se compensent :
- Lorsque l'énergie cinétique est nulle, l'énergie potentielle est maximale et est égale à l'énergie mécanique. L'énergie potentielle du pendule libre n'est due qu'au poids du corps et à sa position initiale avant de le lâcher (hauteur du poids par rapport à la position verticale) :  
- Lorsque le pendule est à la position d'équilibre, l'énergie potentielle est nulle car h=0 et donc l'énergie mécanique est égale à l'énergie cinétique :  
- Lorsque le pendule est en phase descendante l'énergie potentielle diminue car la hauteur h diminue et donc l'énergie cinétique augmente (la vitesse augmente), ainsi l'énergie mécanique est conservée.
- Lorsque le pendule est en phase ascendante, c'est l'inverse, l'énergie potentielle augmente car la hauteur h augmente et la vitesse du pendule diminue (énergie cinétique diminue).
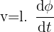
Exprimons maintenant l'énergie mécanique en fonction du temps selon l'axe x, c'est-à dire en fonction de l'angle φ. Pour ce faire, il faut exprimer la hauteur h et la vitesse v en fonction de l'angle φ.
- Concernant la hauteur h : elle est nulle quand le pendule est à l'équilibre, par contre, elle dépend de l'angle φ quand celui-ci s'éloigne de la position d'équilibre. Elle correspond donc à la longueur de la corde l moins la longueur de la corde du pendule projeté sur x à l'instant t, que nous allons appeler x (ou distance OH). Au repos, la longueur du pendule projetée sur x est l, on a donc bien h égale à 0 à l'équilibre.
- On peut donc écrire à tout moment t que :   
- Il faut donc maintenant exprimer x en fonction de l et l'angle φ. Si l'on trace la droite perpendiculaire à l'axe x et passant par le centre de la masse, on obtient un triangle rectangle HOM rectangle en H. Nous savons par ailleurs que dans un triangle rectangle le cosinus de l'angle φ est égal au rapport de coté adjacent sur l’hypoténuse. On peut donc écrire la relation suivante lorsque le pendule n'est pas à l'équilibre :  
- Nous avons donc  
- Nous avons bien h=l lorsque l'angle α est nul (position d'équilibre) car cos 0 = 1
- Concernant la vitesse v : elle est maximale quand le pendule passe par la position d'équilibre et elle dépend de l'angle φ lors des phases montantes et descendantes (vitesse angulaire)
- On peut donc écrire à tout moment selon l'axe x :  
L'énergie mécanique peut donc être exprimée de la manière suivante :  ou  encore en fonction de l'angle φ  :
 ou  encore en fonction de l'angle φ  : 
Application numérique
Le pendule de masse 5 g et de longueur 10 cm est lâché depuis une position initiale faisant un angle de 90° avec le support (axe x).
Avec la connaissance de l'énergie potentielle au départ du mouvement, nous connaissons également l'énergie mécanique. Celle-ci étant constante au cours du temps, nous pouvons connaitre la vitesse du pendule pour un angle donné, en effet :  et donc
 et donc 
  
  	    Angle φ 0 45 90 135 180   	  Energie potentielle (J) 0,00049 0.000245 0 0.000245 0.00049   	  Energie cinétique (J) 0 0.000245 0.00049 0.000245 0   	  Energie mécanique (J) 0,00049  0,00049  0,00049  0,00049  0,00049    	   vitesse (m/s) 0  0,3 0,44 0,3 0  









 Loading...
Loading...









Si vous désirez une aide personnalisée, contactez dès maintenant l’un de nos professeurs !
Bonsoir ça intéressant mais il faudra beaucoup se documenter. Du courage
Vous avez une page bien ressourcé
Je suis très intéressée par votre offre,donc je veux bien adapté à vos groupes respectifs. Vraiment merci beaucoup pour votre réponse rapide.
je suis un élève en premier S en cote d’ivoire . je suis passionné de physique chimie et j’aimerai approfondir mes connaissances en physique chimie.
Salut pour moi c’est bon justement moi je veux qu’on m’aide unpeut
Bonsoir ça intéressant mais il faudra beaucoup se documenter. Du courage