Chapitres
1. Etude cinétique

1.1. 2ème Loi de Newton

1.2. Evolution de la vitesse

1.3. Equation horaire du mouvement

1.4. Equation de trajectoire
Pour avoir cette trajectoire, il faut exprimer y = f(x).

2. Importance des conditions initiales
2.1. La portée d'un tir
La portée est la distance maximale qui va être effectuer selon l'axe des abscisses.

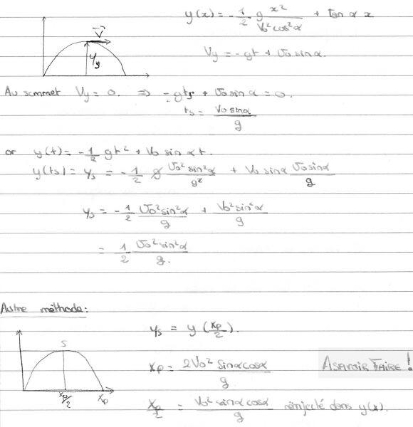
2.2. La flèche
La flèche correspond à la hauteur maximale atteinte par le projectile au cours de son mouvement.

Résumer avec l'IA :



















Si vous désirez une aide personnalisée, contactez dès maintenant l’un de nos professeurs !