Chapitres
1. Les référentiels d'étude
1.1. Référentiel héliocentrique.
Il a pour origine le centre du soleil. On peut lui associer un repère d'axe.

1.2. Les autres référentiels.
1.2.1. Référentiel planeto-centrique
Il a pour origine le centre d'une planète.
1.2.2. Référentiel terrestre
Il a pour origine la surface de la Terre.
2. Les Lois de Kepler
2.1. La 1ère loi: Loi des orbites

 Dans le référentiel héliocentrique, la trajectoire des orbites est une ellipse dont le soleil occupe un des foyers.
2.2. La 2ème loi : Loi des aires

 Le vecteur SP balaie des mêmes aires pendant des durées identiques.
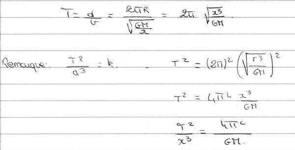
2.3. La 3ème loi : Loi des périodes
Le rapport du carré de la période de révolution sur le demi grand axe au cube est constant.

3. Le mouvement circulaire uniforme
3.1. Définition
Un objet est en mouvement circulaire uniforme si sa trajectoire est un cercle et si sa vitesse est constante.
3.2. Le repère de Frenet. La base de Frenet.

3.3. La périodicité du mouvement
Période de révolution : C'est la durée pour effectuer une rotation complète.

4. Mouvement des satellites et planètes
Les astres ont une répartition de masse à symétrie sphérique.
4.1. Loi de la gravitation universelle
Deux corps s'attirent, cette attraction mutuelle est proportionnelle au produit des masses et inversement proportionnelle au carré de la distance qui sépare le centre des corps.

4.2. Application aux planètes

Remarque : L'accélération est dirigée vers le centre du soleil. Elle est dite centripète.
4.3. Expression de la vitesse

LA vitesse du satellite ou de la planète ne dépend pas de sa masse mais seulement de l'astre par rapport auquel il gravite.
4.4. Période de révolution et 3ème loi de Kepler
C'est la durée que met un satellite pour effectuer un tour de l'astre autour duquel il gravite.

4.5. Satellite géostationnaire
Un satellite géostationnaire est un satellite qui est fixe par rapport à un point de la surface de la Terre, il se situe à la verticale d'un point de l'équateur. Sa trajectoire est circulaire et contenue dans le plan équatorial terrestre.









 Loading...
Loading...









Si vous désirez une aide personnalisée, contactez dès maintenant l’un de nos professeurs !