Chapitres
L'organe de la vue, l’œil
L’œil est l'organe de la vision sensible à la lumière chez les animaux. Les yeux vont de simples structures capables simplement de différencier la lumière de l'obscurité à des organes complexes (comme ceux de l'Homme et des autres mammifères) qui peuvent distinguer des variations infimes de forme, de couleur, de luminosité et de distance. Le processus réel de la vision est effectué par le cerveau plutôt que par l’œil. La fonction de l’œil est de recevoir et transformer les vibrations électromagnétiques de la lumière en influx nerveux qui sont transmis au cerveau.

Définition de quelques composants de l’œil
Cristallin
Il s'agit de la lentille située dans l’œil, en arrière de l'iris. Ses modifications survenant vers 45 ans sont à l'origine de la presbytie, puis de son opacification ou cataracte.
Cornée
La cornée est la partie avant ou antérieure de l’œil, transparente, sur laquelle sont posées les lentilles de contact. C'est le dioptre le plus puissant de l’œil. Elle permet la convergence des rayons lumineux. Une très légère modification de la courbure de sa face antérieure permet de corriger les myopies, les hypermétropies et les astigmatismes.
Humeur aqueuse
Il s'agit du liquide circulant dans l’œil. Sécrétée par le corps ciliaire situé entre le cristallin et la rétine, elle passe à travers la pupille et est résorbée au niveau du trabéculum. Les anomalies de résorption dues à un dysfonctionnement du trabéculum sont responsables d'une augmentation de la pression oculaire et du glaucome.
Iris
L'iris est le diaphragme permettant de faire varier la taille de la pupille en fonction de la lumière. Sa couleur détermine la couleur de l’œil : bleu, vert, marron.
Nerf optique
Le nerf optique est le nerf transmettant les informations visuelles de l’œil au cerveau.
Papille
Elle est l'origine du nerf optique situé en arrière de l’œil.
Rétine
La rétine est le tissu nerveux sensible à la lumière sur lequel convergent les rayons lumineux. La rétine est formée de plusieurs couches de cellules nerveuses qui sont sensibles à la lumière et transmettent les informations au cerveau par les fibres nerveuses qui cheminent par le nerf optique et les voies optiques. Elle est collée à l'intérieur de l’œil contre la paroi sclérale, au contact de l'épithélium pigmentaire et la choroïde, nécessaires à la survie des cellules rétiniennes.
Axe optique
C'est l'axe défini par la ligne passant par le centre de la cornée et le centre optique de l’œil.
Axe visuel
C'est l'axe défini par la ligne allant de l'objet fixé à la région la plus sensible de la rétine en passant par le centre optique de l’œil.
La fovéa
La fovéa est la zone centrale de la macula, est la zone de la rétine où la vision des détails est la plus précise. Elle est située dans le prolongement de l'axe optique de l’œil.
Le fonctionnement de la vue
La vue met en action différents phénomènes physiques. De la réfraction aux illusions d'optiques, nous allons voir comment ils impactent notre vue et notre perception du monde qui nous entoure.
La réfraction

Lorsque la lumière provient à notre œil, celle-ci passe du milieu extérieur à notre œil et est donc déviée de sa trajectoire initiale. Un phénomène de réfraction a donc lieu. On note l'indice de réfraction n. Celui-ci mesure la capacité d'un milieu à ralentir la vitesse de la lumière. Voici son expression :  Avec :
 Avec :
- c la célérité de la lumière dans le vide : 299 792 458 m / s ;
- v vitesse de la lumière dans le milieu pris en considération.
La Loi de Snell-Descartes
Rappels
- Le rayon lumineux est dit incident avant d'avoir rencontré la surface réfractante (appelée dioptre), il est dit réfracté après avoir rencontré cette dernière.
- Le point de rencontre du rayon incident et du dioptre est appelé point d'incidence.
- Le plan contenant le rayon incident et la normale au dioptre, au point d'incidence est dit plan d'incidence.
- L'angle orienté i1 pris entre la normale au point d'incidence et le rayon incident est dit angle d'incidence.
- L'angle orienté i2 pris entre la normale au point d'incidence et le rayon réfracté est dit angle de réfraction.
- Les angles i1 et i2 sont positifs si ils sont orientés dans le sens trigonométrique (sens inverse des aiguilles d'une montre), négatifs sinon.
La loi
On prend n1 l'indice de réfraction du milieu dans lequel se propage le rayon incident et n2 celui du milieu dans lequel se propage le rayon réfracté. Pour pouvoir énoncer la loi de la réfraction, il faut que le rayon réfracté, le rayon incident et la normale (au dioptre) soient dans un même plan qui est appelé le plan d'incidence et que le rayon incident et le rayon réfracté soient situés de part et d'autre de la normale. Lorsque n1 > n2 (et respectivement n1 < n2) le rayon réfracté (et respectivement : incident) se rapproche plus rapidement du dioptre que le rayon incident (ou réfracté). Cependant, il existe un cas particulier où le rayon réfracté (ou incident) se retrouve mathématiquement sur le dioptre (sa limite) : il y a alors réflexion totale. Il faut d'abord connaître la longueur des rayons réfléchis. On utilise alors le théorème de Pythagore pour connaître la longueur de l’hypoténuse et donc la longueur des rayons : 
Rappel : D'après le théorème de Pythagore, le carré de la longueur de l’hypoténuse est égale à la somme des carrés des côtés adjacents à cette dernière.
Il faut ensuite poser les conditions de l'expérimentation :
- Dans le milieu 1, l'onde se déplace à la vitesse c (vitesse de la lumière)
- Dans le milieu 2, l'onde se déplace à la vitesse v avec :  
Il faut, dans un second temps, établir les temps de déplacement des ondes lumineuses avec :
- t1 le temps de parcours dans l'air  
- t2 le temps de parcours dans le milieu 2  
- tAB le temps de parcours dans l'air mis l'onde pour aller de A à B
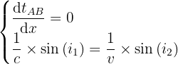
On a donc :  On doit maintenant déterminer l'abscisse x de telle sorte que tAB soit minimal. On cherche donc à obtenir :
 On doit maintenant déterminer l'abscisse x de telle sorte que tAB soit minimal. On cherche donc à obtenir : 
 
  Or, pour obtenir ce que l'on cherche, il faut que :
 Or, pour obtenir ce que l'on cherche, il faut que :  Ainsi, la formule de Snell-Descartes pour la réfraction est démontrée.
 Ainsi, la formule de Snell-Descartes pour la réfraction est démontrée. 
Les illusions d'optique

Dans notre vie de tous les jours, nous essuyons de nombreuses illusions d'optique. Par exemple, quand on regarde une paille dans un verre, celle-ci semble cassée sous la surface de l'eau. L'explication est encore une fois fournie par la loi de la réfraction de Snell-Descartes. En effet, quand la lumière renvoyée par la paille passe la séparation entre le milieu de l'air et du liquide contenu dans le verre. Il s'agit de la même chose en ce qui concerne les mirages. Ce sont des illusions d'optique qui font croire à ceux dans le désert qu'il y a un lac ou un oasis. La réfraction atmosphérique correspond à un phénomène optique consistant en une trajectoire non rectiligne de la lumière lorsque celle-ci traverse l'atmosphère. Cela est principalement dû à une variation de la densité de l'air avec l'altitude.
L’atmosphère est la couche de gaz qui entoure la Terre. Cette dernière joue un rôle de protection en nous protégeant de ce qui se trouve au delà, dans l’espace, comme les rayons du soleil ou les corps étrangers. L’air que contient l’atmosphère est constitué à 78 % de diazote, de 21 % de dioxygène et le dernier pourcent représente une multitude d’autres gaz tels que le méthane, l’ozone, le dioxyde de carbone, l’argon, néon, krypton, xénon, etc.
Ainsi, pour tous les objets dits immergés dans l'atmosphère, le phénomène se renomme réfraction terrestre. Ce sont d'ailleurs ces réfractions terrestres qui conduisent aux mirages mais aussi aux effets de miroitement et d'ondulation en ce qui concerne les objets lointains. De ce fait, en astronomie d'observation, la réfraction atmosphérique peut provoquer des erreurs en ce qui concerne l'évaluation de la position angulaire réelle de l'astre qui est observé. En effet, cet astre sera observé plus haut dans le ciel qu'il ne l'est dans sa position réelle. C'est pour cela qu'il est nécessaire, voire obligatoire, d'observer une correction de hauteur, également appelé de réfraction atmosphérique. Cependant, il faut savoir que ce phénomène ne se contente pas d'affecter les rayons lumineux mais, de façon plus générale, il impacte toutes les ondes électromagnétiques. De fait de sa relation avec la longueur d'onde, on appelle cela le phénomène de dispersion, la lumière bleue sera plus fortement affectée par le phénomène que le serait la lumière rouge. C'est donc pour cela que, à cause de leur spectre, certain objets astronomiques peuvent voir les images en haute résolution s'étaler. Notons que la lumière verte peut, en partie, être interprété par la réfraction atmosphérique mais aussi par la dispersion. Un autre phénomène bien connu, l'observation du Soleil sous forme oblongue -donc légèrement aplati- lorsqu'il est à l'horizon, est un autre phénomène provoqué par la réfraction atmosphérique. Ce phénomène est d'ailleurs également observable pour la Lune. Notons cependant que la réfraction atmosphérique est beaucoup plus importante pour tout objets proche de l'horizon par rapport aux objets qui seront plus près du zénith. C'est pour cela que les astronomes, dans le but de limiter les effets de la réfraction atmosphérique, préfèrent l'observations des objets lorsqu'ils se situent à leur point culminant de leur trajectoire dans le ciel. Mais c'est également pour cela que les marins, afin de se guider, ne visent pas les étoiles proches de l'horizon mais plutôt celles qui se trouvent au moins à 20° au-dessus de cet horizon. Malgré tout, s'il n'est pas possible d'éviter les observations proches de l'horizon, il est tout à fait possible, sur certains instruments d'optique, de compenser les décalages observés à cause de la réfraction atmosphérique mais également ceux à cause de la dispersion. Il faut tout de même savoir que la réfraction atmosphérique dépend également de la pression atmosphérique et également de la température. C'est pour cela que les instruments permettant de corriger les effets précédemment cités causés par la réfraction atmosphérique et la dispersion se doivent d'être technologiquement complexe. De ce fait, leur coût élevé minimise leur expansion. Le problème est encore plus ancré dans le cas où la réfraction atmosphérique est non-homogène, principalement à cause de la présence de turbulences dans l'air. Ce sont ces mêmes turbulences qui provoquent d'ailleurs le phénomène de scintillation des étoiles.
Les maladies de la vue

L’œil est malheureusement souvent sujet à des maladies et des pathologies diverses. Chacune des parties de l’œil sont susceptibles d'attraper ces pathologies. Les voici concentrées dans un tableau.
| Partie touchée | Type de maladies | 
|---|---|
| appareil lacrymal | dacryocystite et dacryoadénite | 
| conjonctive | conjonctivite d'origine bactérienne ou virale et pinguécula | 
| cornée | kératite ou kératocône | 
| cristallin | cataracte, ectopie, myopie, hypermétropie, aphakie, presbytie ou astigmatisme | 
| muscles oculaires | diplopie, parésie ou paralysie des muscles | 
| nerf optique | névrite optique, œdème papillaire ou glaucome | 
| orbite | énophtalmie ou exophtalmie | 
| paupière | ptosis, ectropion, entropion, orgelet, blépharite, tumeur ou chalazion | 
| pupille | en mydriase (dilatée), en myosis (contractée) ou irrégulière | 
| rétine | déchirure, décollement, occlusion artérielle, veineuse, DMLA (dégénérescence maculaire liée à l'âge) ou problèmes de vision des couleurs ( daltonisme, achromatopsie, etc.) | 
L’œil du futur
Afin de palier à tous les problèmes de vue et de se préparer à accueillir les technologies du futur, les chercheurs travaillent actuellement à recréer un œil bionique qui utiliserait les avancées de la science pour voir mieux et voir plus loin. Cela passe par différents composants de l’œil que l'on peut maintenant remplacer quand ils sont endommagés. Le nerf optique pour commencer. Nécessaire à la transmission du flux nerveux comportant l'information visuelle, il est possible de la remplacer par un artificiel lorsque celui-ci a été endommagé ou dans le cas d'une personne qui serait née sans. Au niveau de la rétine, il est également possible maintenant de la remplacer par des plaques de semi-conducteurs qui vont transformer la lumière reçue en signal électrique nerveux. Il sera ensuite transmis par le nerf optique au cerveau. On peut pour finir aider le cortex cérébral en lui envoyant directement des données prises par une caméra numérique. Cela permet de redonner la vue à une personne qui a perdu son œil ou qui a subi un accident.









 Loading...
Loading...









Si vous désirez une aide personnalisée, contactez dès maintenant l’un de nos professeurs !