Chapitres
Concepts fondamentaux du mouvement et des systèmes
- Un système est l’ensemble des objets dont on étudie le mouvement. L’Univers est séparé en deux : le système et l’extérieur.
- Un solide est dit ponctuel si ses dimensions sont très inférieures aux autres dimensions du problème, permettant de le considérer comme un point.
- Un solide est dit indéformable si la distance entre deux de ses points quelconques reste toujours constante.
- Un système est isolé s'il n'est soumis à aucune force extérieure. Il est pseudo-isolé si la somme vectorielle des forces extérieures appliquées est nulle (Somme des forces = 0).
- Une interaction se produit lorsque l'objet A exerce une action sur l'objet B, et que l'objet B agit réciproquement sur l'objet A (principe des actions réciproques, 3e loi de Newton).
- Une force peut avoir un effet dynamique (modifier le vecteur vitesse) ou un effet statique (contribuer à l'équilibre ou déformer le système).
Les forces : types et caractéristiques
Types de forces selon leur application
- Une force localisée s'applique en un seul point de l'objet ou sur un objet ponctuel (ex: la tension d'un fil).
- Une force répartie s'applique sur un ensemble de points répartis sur une surface ou un volume (ex: le poids P est réparti dans tout le volume d'un objet).
- Une force de contact nécessite un contact entre les deux objets pour s'exercer.
Les forces à distance
Trois sortes de forces s'exercent entre deux objets séparés par du vide, de l'air ou de l'eau :
- Les forces de gravitation : Elles s'exercent entre les masses (astres, terre et objets terrestres). Elles sont uniquement attractives. Le poids d’un corps est essentiellement une force de gravitation.
- Les forces électriques : Elles s'exercent entre deux objets portant des charges électriques. Elles peuvent être à la fois attractives (charges de signes opposés) ou répulsives (charges de même signe).
- Les forces magnétiques : Elles s'exercent entre des aimants ou des matériaux ferromagnétiques. Elles sont également attractives ou répulsives.
Référentiels, trajectoires et mouvement
Pour étudier le mouvement d’un système, il faut se fixer un référentiel : c’est un solide (corps de référence) par rapport auquel on étudie le mouvement. Un repère d'espace orthonormé (système d'axes orthogonaux et normés) y est souvent associé. Le choix du référentiel est crucial car la vitesse, les coordonnées et l'énergie cinétique d'un objet en dépendent.
La trajectoire d’un mobile ponctuel est l’ensemble des positions successives occupées par ce mobile au cours du temps. La forme de la trajectoire dépend du référentiel choisi (Exemple : un voyageur est immobile par rapport au train, mais en mouvement par rapport au quai).
Le référentiel galiléen est un référentiel ou le corps est considéré en translation rectiligne uniforme.
Les principaux types de référentiels
- Le référentiel terrestre : Constitué d’un point du sol et de trois axes fixes par rapport à la Terre. Utilisé pour les mouvements à petite échelle sur Terre (véhicules, objets lancés).
- Le référentiel géocentrique : Constitué du centre de la Terre et de trois axes pointant vers des étoiles lointaines (considérées fixes). Utilisé pour étudier le mouvement des satellites terrestres (comme la Lune).
- Le référentiel héliocentrique : Constitué du centre du Soleil et de trois axes pointant vers des étoiles suffisamment lointaines pour être considérées comme fixes. Utilisé pour étudier les mouvements à l’échelle du système solaire (planètes, comètes, voyages interplanétaires).

Types de mouvements
La translation : Chaque segment du mobile reste parallèle à lui-même. La trajectoire peut être rectiligne (ascenseur), circulaire (grande roue) ou curviligne (téléphérique).
La rotation : Tous les points décrivent des cercles concentriques autour d'un axe de rotation fixe (ex: les aiguilles d’une horloge).
Le principe d'inertie et les lois de Newton
Le principe d'inertie (première loi de Newton)
L'inertie d'un corps est sa tendance à conserver sa vitesse. Le principe d'inertie (ou première loi de Newton) s'énonce ainsi :
Dans un référentiel galiléen :
Si la somme vectorielle des forces extérieures appliquées à un solide est nulle (solide dit pseudo-isolé)...
...alors le centre d'inertie G de ce solide est soit au repos, soit animé d'un mouvement rectiligne uniforme.
Réciproquement : Si le centre d'inertie G est au repos ou en mouvement rectiligne uniforme, alors la somme vectorielle des forces est nulle.
Qu'est-ce qu'un référentiel galiléen ?
Un référentiel est dit galiléen s'il vérifie le principe d'inertie. Bien qu'il n'existe pas de référentiel strictement galiléen, certains sont considérés comme tels sous certaines conditions :
- Le référentiel terrestre est galiléen pour une étude de quelques minutes.
- Le référentiel géocentrique est galiléen pour une étude de quelques heures.
- Le référentiel héliocentrique est considéré comme galiléen, car l'impact du mouvement du Soleil dans la galaxie est négligeable.
Référentiel Terrestre | Centré en un point de la Terre |
---|---|
Référentiel Géocentrique | Centré sur le centre masse de la Terre |
Référentiel Héliocentrique | Centré sur le centre de masse du Soleil |
Référentiel de Copernic | Centré sur le centre de masse du système solaire |
Lois de Newton et accélération
- Deuxième loi de Newton : Dans un référentiel galiléen, si le vecteur vitesse du centre d'inertie d'un solide varie (accélération), alors la somme vectorielle des forces extérieures appliquées à ce solide n'est pas nulle. Cette somme est égale au produit de la masse M du solide par l'accélération de son centre d'inertie (Somme des forces extérieures = Masse x Accélération).
- Troisième loi de Newton (Actions Réciproques) : Si un système A exerce une force sur un système B, alors le système B exerce une force opposée telle que (Force A sur B = - Force B sur A).

La gravitation et son analogie avec le champ électrique
Le champ gravitationnel
La gravitation est une force attractive qui s'exerce à distance entre deux corps possédant une masse. L'intensité de cette force dépend de :
- La masse des corps (proportionnelle).
- La distance entre eux (inversement proportionnelle au carré de la distance).
Pour s'affranchir du problème de l'action à distance, on introduit le concept de champ gravitationnel, un champ réparti dans l'espace dû à la présence d'une masse, capable d'exercer une influence sur tout autre corps à proximité.

Analogie avec la loi de Coulomb et le champ électrique
Il existe une forte analogie formelle entre la loi de la gravitation (Newton) et la loi de Coulomb (électrostatique), car les deux forces varient comme l'inverse du carré de la distance et sont conservatives. Cela permet d'utiliser les théorèmes et méthodes de calcul de l'électrostatique (comme le théorème de Gauss) pour les calculs gravitationnels.
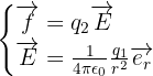
La loi de Coulomb, décrivant la force exercée par une charge q1 sur une charge q2 séparées par une distance r, est :

En séparant ce qui dépend de la charge source ($q_1$) et de la charge test ($q_2$), on obtient l'expression du champ électrique ($\vec{E}$) créé par $q_1$ :

La principale différence entre les deux champs est leur nature : le champ gravitationnel est toujours attractif, tandis que le champ électrique peut être attractif ou répulsif.
Si vous désirez une aide personnalisée, contactez dès maintenant l’un de nos professeurs !
tro bien mais j’ai pas tout compris parce que je suis en 5ème
Bonjour, envisagez de vous appuyer sur nos professeurs chez Superprof pour un accompagnement qui répond spécifiquement à vos besoins. Passez une agréable journée ! :)
Très cool,ke Dieu vous bénisse
Trop coule
Schema du referentiel terrestre
C’est génial
Merci pour votre commentaire ! :)
Merci bien pour le site, je fais très souvent les recherches là.. Mais je ne sais comment il fonctionne de manière dynamique
bonsoir et merci bcp pour ce cours. il est intéressant et bien détaillé.
Merci beaucoup c’est vraiment enrichissant!!