Chapitres
Introduction : le Soleil en mouvement
On a l’impression que le Soleil traverse le ciel entre l’aube et le crépuscule, mais ce n’est qu’une illusion donnée par la rotation de la Terre. C’est nous qui bougeons, pas le Soleil. Pourtant, il se déplace lentement. Il tourne sur lui même, comme la Terre mais beaucoup plus lentement. Et puis, de la même façon que la Terre tourne autour de lui en entraînant la Lune, le Soleil tourne autour du centre de la galaxie en entraînant avec lui les planètes et l’ensemble du système solaire.
Dans cet article nous allons voir la structure du Soleil et des planètes qui tournent autour et aussi quels sont les déplacements effectués par le Soleil.
Le Système Solaire
Le Système solaire est le système planétaire dans lequel nous vivons et dans lequel se trouve notre Terre. Il est intégré dans la galaxie de la Voie Lactée.
Un système planétaire est un système dans lequel on retrouve des planètes avec des corps inertes tels que des astéroïdes ou des comètes. Le tout gravite autour d'une étoile.
L'adjectif solaire est relatif au Soleil. Le système solaire est donc constitué du Soleil et d'astres qui orbitent autour de lui tels que des planètes, comètes, astéroïdes, etc. Le système solaire est né il y a environ 4,6 milliards d' années, dans un énorme nuage de gaz et de poussières. Au centre du nuage, une boule lumineuse s'est formée : le Soleil. Des grains de poussières qui tournaient autour du Soleil se sont regroupés pour devenir de grosses boules de tailles différentes: les planètes.
Le Soleil est une étoile comme celles que l’on peut observer la nuit. Il est plus lumineux et semble plus gros que les autres étoiles, car il est beaucoup plus proche de la Terre.
Le Soleil, et donc le système solaire, fait partie d’une galaxie, la voie lactée, qui regroupe des centaines de milliards d'étoile. Celle-ci est observable dans des conditions optimales sous forme d'une bande blanchâtre dans le ciel nocturne.
La Voie Lactée n'est elle-même qu'une galaxie parmi des milliards d'autres.
Le Soleil : caractéristiques

Le Soleil est notre étoile. Il tourne à 28 000 années lumière du centre de notre galaxie, la Voie Lactée, le tout à une vitesse de 225 kilomètres par seconde.
Il représente le plus gros objet de notre système solaire et occupe à lui seul 99 % de la masse du système solaire.
Il se compose de 75 % d'hydrogène et de 25 % d'hélium.
La température en son centre peut atteindre les 14 000 000 K, soit 13 999 726, 85 °C.
On estime sa durée de vie à environ encore 7 milliards d'années.
Le Soleil est le centre de notre système solaire mais il n'est pas du tout au centre de la Voie Lactée. De même que la Terre et les planètes tournent autour du Soleil (elles effectuent des révolutions), l' ensemble du Système Solaire tourne autour du centre de la Voie Lactée. Le Soleil est une étoile d'un diamètre de 1 392 000 km, soit 108 fois le diamètre de la Terre (12 756 km). Comme toutes les étoiles, le Soleil est une boule de gaz très chauds. Au cœur du soleil, des milliers d'explosions se produisent en permanence, comme celles des bombes atomiques. Ces explosions dégagent de la chaleur et de la lumière qui remontent à la surface et le font briller. Et cela peut encore durer 5 milliards d'années ! Le Soleil est la seule source primaire de lumière du système solaire. Les autres astres sont visibles, car ils diffusent la lumière du Soleil : ce sont des sources secondaires. Tant qu'il sera encore chaud, il produira de la lumière. Mais, quand plus aucune explosion ne se produira, il se refroidira lentement. Privée de la lumière et de la chaleur du Soleil qui est l'étoile la plus proche de nous, la Terre ne serait qu'une planète sans vie. Si le Soleil s'éteignait, nous continuerions encore à le voir pendant 8 minutes puis ce serait le noir complet.
La rotation du Soleil

Comme les planètes et tous les astres en général, le Soleil tourne sur lui-même. Sa période de rotation est de 27 jours terrestres.
Sa structure gazeuse lui donne une rotation assez spéciale : il tourne plus rapidement à son équateur qu'à ses pôles. De même, son cœur lui tourne beaucoup plus vite à raison d'un tour par semaine terrestre.
C'est le savant Galilée qui fût le premier à voir des tâches solaires à la surface du Soleil. L'observation de ces tâches permit vite de voir que le Soleil subissait une rotation sur lui même. Il démonte alors que le Soleil a une durée de révolution de 27 jours et que sa structure lui vaut une rotation différente selon les endroits : la rotation différentielle.
La rotation du Soleil s'effectue autour du centre de la Voie Lactée : le Centre galactique.
Des études récentes démontrent que le Soleil tournerait dans le sens anti-horaire, le même que les planètes qui tournent autour de lui. En l'occurrence, il s'agit plutôt des planètes qui tournent dans le même sens que le Soleil.
Le sens de rotation du Soleil a une grande importance puisque c'est ce dernier qui définit le champ magnétique et son sens. On sait d'ailleurs que le champ magnétique du Soleil a des incidences sur l'activité solaire qui peut se répercuter jusque sur notre Terre.
Galilée
Galilée est un célèbre mathématicien, géomètre, physicien mais également astronome italien du XVIIe siècle.
Ce savant réalisera pendant sa vie de nombreux outils tels que la lunette astronomique en perfectionnant la lunette d'approche découverte par des Hollandais afin de procéder à des observations rapides mais aussi précoces. Cette lunette aura par ailleurs bouleversé de nombreux fondements de l'astronomie de l'époque. Galilée aura également été grand défenseur de l'approche modélisatrice copernicienne de l'Univers. Il lui proposera d'ailleurs d'adopter l'héliocentrisme et les mouvements satellitaires. A cause de ses prises de position, il s'attira les foudres et les critiques de nombreux philosophes, partisans d'Aristote, qui proposaient un géocentrisme stable, une classification des corps et des êtres, un ordre immuable des éléments mais également une évolution réglée des substances. Malgré les mises en garde de ses différents protecteurs religieux, Galilée manquera de prudence au sujet de sa prise de position du mouvement terrestre, celui-ci ne possédant pas de preuves de ce qu'il avançait.
En ce qui concerne les mathématiques, Galilée n'a aucunement contribué à la progression de l'algèbre mais il aura beaucoup travaillé sur les suites mais également les courbes géométriques et la prise en compte de l'infiniment petit. D'ailleurs, Galilée décrira les mathématiques comme étant "un langage décrivant la nature".
Galilée aura également permis de nombreuses avancées concernant la mécanique, notamment la cinétique et la dynamique, grâce aux bases qu'il aura posé avec l'aide de ses nombreuses expériences sur l'équilibre mais aussi le mouvement des corps solides, en particulier sur la chute, la translation rectiligne, l'inertie mais également la généralisation des mesures dont le temps par l'isochronisme du pendule et la résistance des matériaux. Il sera même considéré comme fondateur de la physique -première des sciences exactes modernes- à partir de 1680.
Exercices pour mieux comprendre

Exercice 1 : Le rayonnement solaire sur la Terre
Avec cet exercice, vous allez voir comment le Soleil a une incidence sur la vie terrestre grâce à ses rayons.
L’exercice s’intéresse aux caractéristiques du rayonnement solaire reçu sur Terre.
Donnée : la vitesse de propagation de la lumière dans le vide vaut c = 3,0 × 108 m∙s-1
PARTIE A. TEMPÉRATURE DE LA SURFACE DU SOLEIL

Le spectre de corps noir modélisant au mieux le spectre d’émission solaire est indiqué sur la courbe en trait épais.
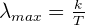
1- Selon la loi de Wien, la longueur d’onde d’émission maximale d’un corps noir est inversement proportionnelle à la température absolue de la surface d’une étoile selon la formule :

où T représente la température absolue (exprimée en Kelvin), max la longueur d’onde du maximum d’émission (exprimée en mètre) et une constante de valeur 2,89 × 10‒3 m∙K.
À l’aide de ces informations et du document 1, déterminer la température de surface du Soleil.
PARTIE B. ÉNERGIE SOLAIRE REÇUE PAR LA TERRE

À une distance donnée du Soleil, la totalité de la puissance émise par le Soleil se trouve uniformément répartie sur une sphère de rayon égal à cette distance.
Sur le schéma ci-contre, la Terre et le Soleil ne sont pas représentés à l’échelle.
On rappelle que l'aire d'une sphère de rayon d est S = 4πd² et que l'aire d'un disque de rayon R est Sdisque = πR².
2- Le rayonnement solaire met en moyenne 500 s à nous parvenir depuis le Soleil.
Montrer que la distance moyenne Soleil-Terre est = 1,5×1011 m.
3- La constante solaire exprime la puissance émise par le Soleil que recevrait un mètre carré de la surface terrestre exposé directement aux rayons du Soleil si l’atmosphère terrestre n’existait pas, la surface étant perpendiculaire aux rayons solaires. Elle varie au cours de l’année. Sa moyenne annuelle est de 1 370 W∙m-2.
En s’appuyant sur le document 2 et la valeur de la constante solaire, calculer la puissance totale rayonnée par le Soleil.
4 - La Terre intercepte le rayonnement solaire sur une surface correspondant à un disque de rayon R = 6 400 km.
Calculer l’aire de cette surface, exprimée en m2.
5 - Montrer par le calcul que la puissance solaire reçue par la Terre (en dehors de l’atmosphère) d’après ce modèle est voisine de 1,77 ×1017 W.
6- Expliquer pourquoi la puissance solaire reçue par unité de surface terrestre n’est pas uniforme à la surface de la Terre. Il est recommandé de s’appuyer sur un schéma.
Exercice 2 : La fusion de l'hydrogène dans une étoile

Dans ce deuxième exercice, vous allez découvrir comment les étoiles évoluent grâce à leur fusion interne.
On se propose de commenter un extrait d'article du dossier hors série de la revue « Pour la science » de janvier 2001.
« ...La phase de fusion (ou combustion) de l'hydrogène est la plus longue de la vie des étoiles. Si la masse stellaire est comparable ou inférieure à celle du Soleil, la température centrale est inférieure à une vingtaine de millions de degrés. Dans ces conditions, la fusion de deux noyaux d'hydrogène (ou protons) produit un noyau de Deutérium qui capture un autre proton et forme un noyau d'Hélium 3 ... Finalement, deux noyaux d'Hélium 3 fusionnent en un noyau d'Hélium 4 ...L'ensemble de ces réactions constitue la première des chaînes proton - proton ou chaîne p-p, la plus importante dans le cas du
Soleil ...».
NB : les 3 parties de l'exercice sont indépendantes et peuvent donc être traitées indépendamment les unes des autres.
Les valeurs numériques ont été volontairement simplifiées, afin de permettre la réalisation des calculs sans faire usage de la calculatrice.
A - QUELQUES CONSIDÉRATIONS DE VOCABULAIRE
A-1 Donner une définition rapide des mots « fusion nucléaire » et « fission nucléaire ».
A-2 En considérant les charges des noyaux en cause dans le mécanisme de fusion, expliquer pourquoi ces réactions ne peuvent se produire qu'à très haute température ( 2,1.107 °C). On parle alors de fusion thermonucléaire...
B - ÉTUDE DE LA CHAÎNE DE RÉACTIONS
B-1 Écrire la réaction de fusion de deux noyaux d'hydrogène en un noyau de deutérium et une particule que l'on notera sous la forme AZX .Comment s'appelle cette particule ?
B-2 Écrire la réaction de fusion d'un noyau de deutérium et d'un proton en un noyau d'hélium 3.
Cette fusion s'accompagne de l'émission d'un photon. Comment peut-on interpréter cette émission ?
B-3 Écrire la réaction de fusion de deux noyaux d'hélium 3 en un noyau d'hélium 4. Cette fusion s'accompagne de l'émission de deux autres noyaux identiques. Lesquels ?
B-4 Écrire la réaction bilan des trois réactions de fusion précédentes, qui, à partir de noyaux d'hydrogène, permet d'obtenir un noyau d'hélium 4.
C - CONSIDÉRATIONS ÉNERGÉTIQUES. LE SOLEIL "MAIGRIT-IL" ?
On considère désormais la réaction suivante :

On donne les masses des noyaux, en unité de masse atomique :
H : 1,0073 u He : 4,0026 u e: 0,0006 u
l u correspond à une énergie de 935 MeV (» 1000 MeV)
C-1 Calculer la perte de masse correspondant à cette fusion.
C-2 En déduire une estimation, en MeV, de la valeur de l'énergie libérée par nucléon lors de cette fusion.
On choisira, parmi les estimations suivantes, la réponse correcte :
- 0,6 MeV ;
- 6 MeV ;
- 60 MeV.
C-3. Le soleil transforme, chaque seconde, 720 millions de tonnes d'hydrogène en hélium 4.
Estimer la perte de masse subie, chaque seconde, par le soleil.
On choisira, parmi les estimations suivantes, la réponse correcte :
- 4 500 tonnes ;
- 45 000 tonnes ;
- 450 000 tonnes ;
- 4 500 000 tonnes.
NB : On pourra remarquer que le rapport 0,0254/4,0292 est très peu différent de 1/160.
Si vous désirez une aide personnalisée, contactez dès maintenant l’un de nos professeurs !
bonjour merci pour votre article je voulais savoir si le soleil bascule de droite à gauche et si son axe a une précéssion ? merci
Bonjour, je vous recommande de prendre contact avec nos professeurs particuliers sur Superprof pour bénéficier d’un accompagnement personnalisé et approfondi, conçu pour répondre à vos besoins spécifiques. Très bonne journée à vous ! :)
Personne ne le ressent, mais notre petite planète est constamment soumise à plusieurs types de mouvements :
La Terre tourne sur son axe à la vitesse d’environ 1600 km/h;
Elle tourne autour du Soleil à 100 000 km/h;
Le Soleil orbite autour du centre de la Voie lactée à 850 000 km/h;
Notre galaxie navigue à près de 2,3 millions de km/h, soit 630 km par seconde.