Chapitres
L'énergie électrique

On appelle énergie électrique toute énergie étant transférée ou encore stockée grâce à l'électricité. Très souvent, cette énergie est transférée d'un système à un autre système via des mouvements de charges. Il existe de nombreux systèmes capable de fournir de l'énergie par transfert électrique. On peut d'ailleurs nommer les alternateurs ou les systèmes chimiques comme les piles. Les systèmes capables de transformer de l'énergie issue de l'électricité en un autre type d'électricité sont :
- Les résistances électrique qui transforment l'énergie électrique en chaleur ;
- Les moteurs qui transforment l'énergie électrique en un travail mécanique ;
- Les lampes qui transforment l'énergie électrique en rayonnement lumineux et en chaleur ;
- Ou encore les systèmes électrotechniques ou les systèmes électroniques.
Le transport de l'énergie électrique, quant à elle, peut se faire grâce à l'utilisation d'un conducteur électrique comme le métal ou encore une solution ionique. L'inconvénient de l'énergie électrique, c'est qu'elle ne peut pas être stockée en grande quantité. En effet, nous ne sommes en mesure de stocker que de petites quantité de charges électriques sous forme d'énergie appelée électrostatique. Dans ce cas, on utilise couramment des condensateurs. En électricité, il n'est pas correct de parler d'énergie électrique. En effet, cette expression représente plutôt une commodité de langage permettant de signaler que l'électricité nécessite mais transporte également de l'énergie. Pour stocker de l'énergie qui a été fournie via un transfert électrique, il est nécessaire de faire appel à un convertisseur qui est capable de stocker l'énergie reçue sous la forme d'énergie chimique comme c'est le cas avec les accumulateur ou sous la forme d'énergie mécanique ou potentielle comme cela peut être le cas dans une STEP ou un barrage hydro-électrique.
Le conducteur ohmique

La résistance désigne la capacité physique d’un matériau à s’opposer au passage d’un courant électrique sous une certaine tension. C’est de là que sont nés les composants électriques appelés les résistances. Une résistance est habituellement représentée par un rectangle et se note R, K ou M selon sa capacité. R représente les ohms, K les kiloohms et pour finir, M les Megohms. Un code couleur est appliqué sur les résistances afin de connaître leur valeur. Il peut également être intéressant de savoir qu'une résistance peut-être composée de divers matériaux selon qu’elle soit de faible ou haute puissance. Par exemple, les résistances de moins de 2 W sont constituées de carbone et de céramique. Ce type de résistance a pour avantage de générer très peu de bruit thermique, ce qui en fait un élément de choix dans les circuits audio. Les résistances faites pour supporter des puissances supérieures seront quand à elles fabriquées à l’aide d’un cylindre de céramique sur lequel sera enroulé un fil conducteur. Pour finir, les résistances à très hautes puissance sont constituées de solution aqueuse contenant des ions cuivre et qui ralentissent grandement le passage du courant électrique. Un conducteur ohmique n'a pas de sens de branchement et peut être placé soit dans un circuit en série soit en dérivation. La résistance électrique est la grandeur physique qui le caractérise. L'unité de la résistance est l'Ohm (oméga). Lorsqu'on change de conducteur ohmique, la valeur de l'intensité qui circule dans le circuit alimenté par un générateur est modifiée. Plus la résistance est grande plus l'intensité qui circule dans le circuit est faible.
La loi d'Ohm

La tension électrique entre les bornes d'une résistance électrique est égale au produit de la valeur de sa résistance par l'intensité du courant qui la traverse d'où la relation U = R x I. On a alors ceci : 
 
  Ce qui signifie que la tension aux bornes du conducteur ohmique est égale au produit de la valeur du résistance par l'intensité du courant qui le traverse. La caractéristique intensité tension (U en fonction de I) est une droite qui passe par l'origine des axes. Son coefficient directeur est égal à la valeur de la résistance. Un fil électrique est un conducteur ohmique, il doit avoir la plus petite résistance possible. Matériaux avec une résistance faible : métaux (surtout le cuivre, ensuite l'aluminium et enfin le fer). Matériaux avec une résistance très élevée : isolants. Plus la résistance est élevée, plus il est difficile de faire passer un courant.
 Ce qui signifie que la tension aux bornes du conducteur ohmique est égale au produit de la valeur du résistance par l'intensité du courant qui le traverse. La caractéristique intensité tension (U en fonction de I) est une droite qui passe par l'origine des axes. Son coefficient directeur est égal à la valeur de la résistance. Un fil électrique est un conducteur ohmique, il doit avoir la plus petite résistance possible. Matériaux avec une résistance faible : métaux (surtout le cuivre, ensuite l'aluminium et enfin le fer). Matériaux avec une résistance très élevée : isolants. Plus la résistance est élevée, plus il est difficile de faire passer un courant.
La puissance
Généralité
La puissance, en physique, permet d'indiquer la vitesse à laquelle un travail est fourni. Cela correspond alors à la quantité d'énergie par unité de temps fournie par un système à un autre système. On peut donc conclure que la puissance correspond à une grandeur scalaire et à un débit d'énergie. Ainsi, si deux systèmes de puissances différentes fournissent le même travail, et donc la même énergie, ce sera le plus puissant des deux systèmes qui sera donc le plus rapide. On peut exprimer la capacité d'un système à fournir un travail en un temps donné à l'aide du rapport suivant :  On peut déduire de cette formule, que l'intégrale de la puissance fournie par rapport au temps représente alors le travail fourni par le système. En ce qui concerne la notation est les unités, dans le SIU, le système international d'unité, une puissance s'exprime en watts, en joules par seconde ou encore en kg.m2.s-3. Autrefois, on utilisait encore le cheval-vapeur. Cette unité comparait alors la traction d'une machine à vapeur à celle d'un cheval de trait.
 On peut déduire de cette formule, que l'intégrale de la puissance fournie par rapport au temps représente alors le travail fourni par le système. En ce qui concerne la notation est les unités, dans le SIU, le système international d'unité, une puissance s'exprime en watts, en joules par seconde ou encore en kg.m2.s-3. Autrefois, on utilisait encore le cheval-vapeur. Cette unité comparait alors la traction d'une machine à vapeur à celle d'un cheval de trait.
Puissance électrique
La puissance électrique, très souvent notée P, possède pour unité le watt, de symbole W. Elle correspond au produit de la tension électrique, donc en volts, aux bornes de laquelle on branche l'appareil avec l'intensité du courant électrique, donc en ampères, qui va donc traverser l'appareil. Notez que ceci est vrai pour les appareils qui sont purement résistifs.
Vitesse de transformation
Puisque la puissance est une grandeur physique, celle-ci reflète alors la notion de changement matériel dans l'univers mais également le temps nécessaire afin que ce changement s'effectue. Ainsi, la puissance est différent du travail puisque celui-ci prend uniquement en compte le changement et non pas la durée nécessaire à ce changement. De ce fait, pour un même travail effectué lorsqu'une charge pesante est transportée en haut d'un escalier, la puissance sera différente selon si le porteur de la charge effectue cette tâche en courant ou en marchant. En effet, dans le cas où le porteur transporte sa charge en courant, la puissance nécessaire à l'exécution de cette action est beaucoup plus grande. Ceci est encore plus vrai lorsque le délai d'accomplissement de ce travail est plus faible. On peut également illustrer cela en se basant sur l'exemple de la combustion complète d'un kilogramme de charbon. En effet, celle-ci libère plus d'énergie que l'explosion d'un kilogramme de TNT : l'explosion de TNT produit environ 4,7 mégaJoules par kilogramme alors que la combustion du charbon produit entre 15 et 30 mégaJoules par kilogramme. La principale différence entre ces deux réaction est la différence de puissance : puisque l'explosion est un phénomène beaucoup plus rapide que la combustion, la puissance de la première réaction est beaucoup plus supérieure que celle de la deuxième pour un même poids de réactif même si l'énergie intrinsèque du charbon est supérieure à celle de la TNT.
Variables d'effort et de flux
En général, on considère la puissance comme étant le produit d'une variable d'effort -qui peut correspondre à une force, un couple, une pression ou encore à une tension- qui est alors nécessaire à la mise en mouvement contre la résistance exercé par le système, par une variable de flux -qui peut correspondre à une vitesse, une vitesse angulaire, un débit ou encore à l'intensité du courant- qui sera entretenue malgré l'existence de cette résistance. Afin d'illustrer ce propos, on peut prendre l'exemple de la puissance nécessaire afin d'imposer un déplacement à un véhicule. En effet, cette puissance correspond alors au produit de la force de traction exercée par la vitesse de déplacement. De ce fait, la puissance d'un moteur rotatif correspond au produit du couple qu'il transmet au travers de la vitesse de rotation qu'il est capable d'entretenir malgré la résistance. Autre exemple, l'ampoule électrique est capable de convertir l'énergie électrique en lumière et en chaleur. Ainsi, la puissance consommée correspond au produit de la tension électrique par l'intensité du courant qui traverse cette ampoule. On peut définir la puissance moyenne Pm avec le quotient l'énergie E par la durée τ de ce phénomène :  La puissance instantanée correspond quant à elle à la dérivée de l'énergie fournie par rapport au temps :
 La puissance instantanée correspond quant à elle à la dérivée de l'énergie fournie par rapport au temps :  On obtient donc :
 On obtient donc : 
Étude de la puissance et de l'énergie en régime continu
Dans le cas de l'énergie électrique, l'apport d'énergie est proportionnel à la quantité d'électricité. On peut illustrer cela avec la relation suivante :  Où :
 Où :
- L'énergie, notée E, en joules ;
- La charge, notée Q, en coulombs ;
- Et la différence de potentiel aux bornes de l'appareil, notée ΔV, en volts.
Et avec  la quantite d'electricite peut se quantifier avec la formule suivante :
 la quantite d'electricite peut se quantifier avec la formule suivante :  Où :
 Où :
- P représente la puissance en watts ;
- Et t représente la durée en secondes.
L'énergie électrique notée E consommée par un appareil de puissance P pendant une durée t est donnée par les relation :

Où :
- P, la puissance est exprimée en Watt ;
- E, l'énergie, est exprimée en joules si t, le temps, est exprimé en secondes ;
- Ou E, l'énergie, est exprimée en Wattheure si t, le temps, est exprimé en heure.
La loi de Joule
La loi de Joule correspond à une loi qui permet de définir le dégagement d'énergie, dissipée sous forme de chaleur, d'un résistor ou résistance qui se trouve parcouru par un courant électrique. Ainsi, pour une résistance de résistivité R traversée par un courant d'intensité i, on obtient les relations suivantes :  Et donc :
 Et donc :  Où :
 Où :
- E, représentant l'énergie, est exprimé en joules ;
- R, représentant la résistivité de la résistance, est exprimée en ohms ;
- i, représentant l'intensité du courant, est exprimée en ampères ;
- Et t, représentant le temps, est exprimé en secondes.
L'énergie potentielle électrique
L'énergie potentielle électrique, encore appelée énergie électrostatique, correspond à une énergie potentielle mesurée en joules qui résulte alors des forces de Coulomb. On y associe également la configuration d'un ensemble particulier de charges électriques ponctuelles dans un système défini : on peut parler de champ électrostatique. L'énergie potentielle électrique d'un objet dépendra alors de deux paramètres bien définis qui sont : l'énergie de l'objet et sa position par rapport à d'autres objets qui peuvent être chargés électriquement. Ce type d'énergie, c'est-à-dire l'énergie potentielle électrique, correspond à l'énergie qui est utilisée au sein des condensateurs.
Loi de Coulomb (1785)

Coulomb, un physicien français, a établi en 1758 que le champ doit varier comme le carré inverse de la distance entre les charges à une précision de 0,02 sur l'exposant avec l'aide d'un dispositif appelé balance de Coulomb. Cette balance est constituée d'un fil de torsion en argent sur lequel est fixé des matériaux chargés. Ainsi, la loi d'attraction entre deux charges ponctuelles notées q1 et q2 , fixes dans le référentiel défini et séparées par une distance r, se définit ainsi :
- La force est dirigée selon la droite reliant les deux charges ;
- Elle est attractive si les charges sont de signes opposée et répulsive sinon ;
- Son intensité est proportionnelle aux valeurs de q1 et q2 et varie en raison inverse du carré de la distance r.
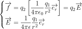
Il est alors possible de traduire ces caractéristiques en une formule exprimant la force exercée par q1 sur q2 :  avec :
 avec :
 le vecteur unitaire de la droite reliant q1 et q2 qui est dirigée dans le sens 1 vers 2 le vecteur unitaire de la droite reliant q1 et q2 qui est dirigée dans le sens 1 vers 2
 la permittivité diélectrique du vide la permittivité diélectrique du vide
Ce qui peut rendre la compréhension de cette formule compliquée est la notion de force à distance. En effet, comment une charge peut savoir qu'une autre charge ponctuelle se trouve à une certaine distance d'elle et alors exercer sur force sur cette charge en fonction de la distance qui les sépare. Dans ce cas, tout comme pour un champ gravitationnel, il peut être utile de séparer dans la loi de force ce qui dépend de la charge subissant la force et donc d'obtenir la relation suivante :  avec :
 avec :
 un champ électrique électrostatique créé à partie de la charge q1 au point où se trouve la seconde charge q2 un champ électrique électrostatique créé à partie de la charge q1 au point où se trouve la seconde charge q2
Ainsi, avec cette relation, il est plus aisé d'interpréter l’existence d'une force à distance. En effet, la charge considérée comme "source", c'est-à-dire q1, crée en tout point de l'espace un champ électrique dont la forme est donnée par la relation exprimée ci-dessus, et une charge quelconque considérée comme "test" subira l'effet de ce champ sous la forme d'une force égale au produit de cette charge par le champ électrostatique. Dans ce cas, ce champ électrostatique apparaîtra comme la force entre deux particules ponctuelles fixes par unité de charge.









 Loading...
Loading...









Si vous désirez une aide personnalisée, contactez dès maintenant l’un de nos professeurs !