Chapitres
Définition d'une action mécanique sur un corps
Une action mécanique sur un corps peut :
- Le mettre en mouvement ;
- Modifier son mouvement ;
- Le déformer.
Les différentes sortes d'actions mécaniques
Actions mécaniques de contact

« Pierre pousse le Chariot »
Dans cette situation courante, Pierre est l'auteur, alors que le Chariot est ici, le receveur.
A : Point de contact entre Pierre et le Chariot. (Action Mécanique de contact)
A est assimilé à un point (l'action Mécanique est localisée).
Auteur : Vent.
Receveur : La Voile.
(Action Mécanique de contact est répartie)
Les actions mécaniques à distance
L'objet en fer est attiré et déplacé par l'aimant. Il n'y a pas de contact entre les deux. C'est donc une action mécanique à distance qui les soumets.
Quelques exercices
Parmi les actions mécaniques suivantes, dites si elles sont de contact ou de distance. Précisez celles qui sont localisées et celle qui sont réparties
 en surface ou en volume.
- Coup de marteau sur un clou ;
- Attraction terrestre ;
- Action exercée par le vent sur une voile ;
- Action exercée par un aimant sur un clou en fer ;
- Action exercée par une flèche sur une cible ;
- Action exercée par le soleil sur la terre ;
- Action exercée par une table sur un livre posé dessus.
Correction
- Action Mécanique de contact. (Localisée) ;
- Action Mécanique à distance (Répartie) ;
- Action Mécanique de contact (Répartie) ;
- Action Mécanique de contact (Localisée) ;
- Action Mécanique à distance (Répartie) ;
- Action Mécanique de contact (Répartie) ;
- Action Mécanique à distance (Répartie) ;
- Action Mécanique de Contact (Répartie).
Représentation schématique d'une action mécanique de contact

La Main exerce une Action Mécanique sur l'élastique. On note ''X'' le point d'impact (Ou point d'application) entre l'auteur et le receveur.
Le segment (AX) est la direction de cette Action Mécanique (Droite d'action). On dit également que c'est la droite qui porte la flèche.
L'action mécanique a un sens : De A vers X.
Plus la main tire fort, plus l'action mécanique est intense.
Finalement, une action mécanique est caractérisée par :
- Une droite d'action, sa direction ;
- Un sens ;
- Une intensité ;
- Un point d'application.
On peut donc la schématiser ou la modéliser par un vecteur. Un vecteur de force F.

Mesure de l'intensité d'une force.
On utilise un dynamomètre : C'est un appareil constitué d'un ressort en acier et d'un index se déplaçant devant une graduation.
L'unité de la valeur d'une force est le Newton de symbole N.
Le déca Newton = 1 daN = 10 N.
Le Kilo Newton = 1 kN = 1000 N
Modélisation
Pour représenter une force localisée, on utilise un segment flèche que l'on note F. LA longueur de ce segment est proportionnelle à l'intensité de la force et à comme origine son point de contact.
Généralement l'on utilise des abréviations afin de gagner du temps.
Point d'application = PA
Direction = D
Sens = S
Intensité = I
Quelques exercices d'application
Les oscillateurs mécaniques
Les parties A et B sont indépendantes. Dans tout ce qui suit, les frottements sont négligés.
Partie A : pendule simple

On étudie un pendule simple constitué d’une masse ponctuelle m, attachée à l’une des extrémités d’un fil inextensible, de masse négligeable et de longueur L.
Ce pendule est placé dans le champ de pesanteur dans le référentiel terrestre considéré comme galiléen.
L’autre extrémité du fil est attachée en un point fixe A. Écarté de sa position d’équilibre G0, le pendule oscille
 sans frottements avec une amplitude bm.
Gi est la position initiale à partir de laquelle le pendule est abandonné sans vitesse.
Une position quelconque G est repérée par b, élongation angulaire mesurée à partir de la position d’équilibre.
1. Étude énergétique
1.1. Donner l’expression de l’énergie cinétique en G.
1.2. On prendra l’origine des énergies potentielles en G0, origine de l’axe des z. On montre que, dans ce cas, l’énergie potentielle en G peut se mettre sous la forme :
 
 Donner l’expression de l’énergie mécanique en fonction de m, g, L, v et b. Pourquoi l’énergie mécanique se conserve-t-elle ?
1.3 Exploitation
Exprimer la vitesse au passage par la position d’équilibre en fonction de g, L et bm. Calculer sa valeur.
Données : g = 10 m.s–2 ; L = 1,0 m ; \cos bm = 0,95.
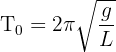
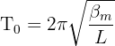
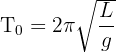
2. Isochronisme.
2.1. Énoncer la loi d’isochronisme des petites oscillations.
2.2. Choisir l’expression correcte de la période parmi les suivantes, en justifiant par une analyse dimensionnelle :
 
  
  
  
 Partie B : oscillateur élastique
Un solide (S) de masse m, de centre d’inertie G, peut glisser sans frottements sur une tige horizontale. Il est accroché à un ressort (R) à spires non jointives, de raideur k = 4,0 N.m-1. L’ensemble constitue un oscillateur élastique horizontal, non amorti.
La masse du ressort est négligeable devant m et (S) entoure la tige de telle sorte que G se trouve sur l’axe de celle-ci (voir schéma page suivante).
On étudie le mouvement de translation du solide (S) dans le référentiel terrestre supposé galiléen.
Lorsque le solide (S) est à l’équilibre, son centre d’inertie G se situe à la verticale du point O, origine de l’axe des abscisses. Le solide est écarté de 10 cm de sa position d’équilibre et abandonné sans vitesse initiale à la date t = 0 s.
Dispositif expérimental :

On procède à l’enregistrement des positions successives de G au cours du temps par un dispositif approprié. On obtient la courbe ci-dessous :

1. Étude dynamique
1.1. Reproduire sur la copie le schéma du dispositif expérimental ci-dessus. Représenter et nommer les forces en G, sans souci d’échelle, s’exerçant sur le solide (S).
1.2. En appliquant la deuxième loi de Newton au solide (S), établir l’équation différentielle (relation entre x et ses dérivées par rapport au temps) régissant le mouvement de son centre d’inertie G.
1.3. Une solution de l’équation différentielle peut s’écrire sous la forme :
 
 2. Étude énergétique
 L’énergie potentielle de pesanteur est choisie nulle dans le plan horizontal passant par G.
2.1. Donner l’expression littérale de l’énergie mécanique du système {ressort + solide}, en fonction de k, m, x et sa dérivée première.
2.2. À partir de l’enregistrement ci-dessus, trouver pour quelles dates l’énergie potentielle élastique du système {ressort + solide} est maximale. Que vaut alors l’énergie cinétique ?
2.3. Calculer la valeur de l’énergie mécanique du système.
Partie C : comparaison des périodes
Les comportements des deux pendules précédents sont maintenant envisagés sur la Lune.
Parmi les hypothèses ci-dessous, choisir pour chaque pendule celle qui est correcte. Justifier.
| Hypothèse 1 | Hypothèse 2 | Hypothèse 3 | 
|---|---|---|
| T0 ne varie pas | T0 augmente | T0 diminue | 
La mécanique au service de la pétanque

La pétanque est un jeu de boules dérivé du jeu provençal aussi appelé "la longue".
 Le but du jeu consiste tout simplement à lancer la boule le plus près possible du "but" matérialisé par le bouchon. Le terrain de jeu est horizontal.
Au début d‘une partie de pétanque, un joueur trace un cercle sur le sol, il se place dans ce cercle et lance le bouchon à une distance entre 6 et 10 mètres de ce cercle.
Les joueurs de pétanque ont le choix entre pointer c'est-a-dire tenter de placer leur boule plus près du but que l‘adversaire ou tirer c'est-a-dire déplacer la boule adverse pour l'éloigner du "but" et remporter le point.
Le pointeur joue avec des boules de petit diamètre (71 à 74 mm) pour offrir moins de surface au tireur, assez lourdes pour un meilleur contrôle (710 à 740 g). Le tireur joue avec des boules de gros diamètre (74 à 78 mm), légères afin de limiter la fatigue (670 à 700 g).
Cet exercice aborde l’étude d’un lancer d‘une boule par un pointeur, puis par un tireur. Dans tout l‘exercice, les frottements seront négligés.
Partie A - Le pointeur
Le pointeur lance sa boule de masse m = 710 g avec une vitesse initiale faisant un angle a par rapport à l’horizontale. L’origine O est prise au point où le pointeur lâche la boule. Le modèle de la chute libre conduit aux équations horaires du mouvement du centre G de la boule dans le repère (O, x, y) :
Donnée : intensité du champ de pesanteur sur Terre : g = 9,81 m.s–2
1. On réalise la chronophotographie du mouvement de la boule lancée par le pointeur. Cette chronophotographie est représentée ci-dessous ; l‘intervalle de temps entre deux prises de vue est de 33,3 ms.

| Date t(s) | x (m) | y (m) | 
|---|---|---|
| 0,000 | 0,000 | 0,000 | 
| 0,033 | 0,117 | 0,117 | 
| 0,067 | 0,243 | 0,243 | 
| 0,100 | 0,346 | 0,360 | 
1.1. Déterminer, à partir de la chronophotographie, la valeur de |'angle α entre l’horizontale et le vecteur vitesse à l’origine des dates en précisant Ia méthode choisie.
1.2. En exploitant le modèle de la chute libre et en utilisant les résultats expérimentaux, déterminer la valeur de la vitesse initiale V0.
2. Le pointeur lance la boule en direction du bouchon et Ia lâche au point O origine du repère choisi. Le point O est situé à une hauteur de 1,2 m du sol.
2.1. Montrer que la boule suit une trajectoire parabolique d’équation :
 
 2.2. Pour un angle a de 51° et une vitesse initiale de valeur égale à 5,5 m.s-1, la boule touche le sol, puis roule vers le bouchon.
Calculer l'abscisse du point d‘impact de la boule avec le sol.
Partie B - Le tireur
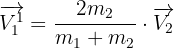
La boule lancée par le pointeur ét"ant proche du bouchon, le tireur de l'équipe adverse va chercher à la déplacer. Le tireur lance sa boule à quelques centimètres de la boule visée ; la boule du tireur roule puis percute la boule du pointeur de plein fouet avec une
 vitesse V2 = 8,0 m.s-1.
Dans le référentiel terrestre, après le choc, les deux boules, de masses respectives m1 et m2, possèdent les vecteurs vitesse, et portés par la même direction.

On étudie le cas de figure du choc donné par le schéma suivant :

1. Lors de ce choc, deux grandeurs se conservent et permettent d’écrire les relations suivantes :
 
  
 Nommer les deux grandeurs dont la conservation est exprimée par ces relations.
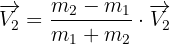
2. La résolution du système précédent permet d'écrire les relations vectorielles suivantes :
 
 et
 
 À partir de ces relations vectorielles, associer les relations A, B et C comparant les masses aux trois propositions 1, 2 et 3 :
Relations
- A : m1 = m2 ;
- B : m1 > m2 ;
- C : m1 < m2.
Propositions
- 1 : la boule G2 repart en sens inverse;
- 2 : la boule G2 suit la boule G1 ;
- 3 : les boules échangent leurs vitesses.
Reporter vos réponses sur votre copie et justifier chaque choix.
3. Que se passe-t-il si la masse m1 est très largement supérieure à la masse m2 ?









 Loading...
Loading...









Si vous désirez une aide personnalisée, contactez dès maintenant l’un de nos professeurs !
Vraiment intéressant
Quelle est l’importance de la mécanique physique
En français s’il te plaît.
Waouh, merci beaucoup